Calculating Synchronous Belt Strength Proportions
| 
| For each pulley |
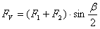
F 2 - F 1 + F p = 0 |
| 
|
| 
|
| 
|
For the driver pulley

| 
| v ≤ v max |
| 
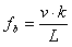
| f b ≤ f max |

F c = mv 2
F Tmax = k 1 F p + F c
F 1 = F tmax
F 2 = F 1 - F p
For individual driven pulleys and idlers
i-index of the pulley
F Pi = P xi F p



F 1i = F 2i-1
F 2i = F 1i + F p i
where:
for synchronous pulley
for flat pulley
For entire belt drive

Required belt installation tension is determined from forces at driver pulley as follows

Example of power transmission with idler

Driver pulley | Flat idler | Driven pulley |
P x1 = 1 | P x2 = 0 | P x3 = 1 |
| 
| 
| F P3 = P x3 F p |
| 
| 
| 
|
| 
| 
| 
|
| 
| F 12 = F 21 | 
|
| 
| F 22 = F 12 + F p2 = F 12 | 
|
F c = m v 2 | 
| 
|
F Tmax = k 1 F p + F C | - | F 13 = F 22 |
F 11 = F Tmax | - | F 23 = F 13 + F p3 = F 11 |
F 21 = F 11 - F p | - | 
|
| 
| - | - |
Meaning of used variables:
F p | Effective pull [N] |
F 1 | Belt tension on input side of the given pulley [N] |
F 2 | Belt tension on output side of the given pulley [N] |
z | Number of teeth of given pulley/ Number of belt teeth [-] |
| β | Arc of contact / tooth angle of side inclination [deg] |
P | power to transmit [W] |
P R | Belt power rating for given transmission layout [W] |
c L | Service factor [-] |
| β | Arc of contact [deg] |
T | Torque acting on given pulley [Nm] |
n | Speed of given pulley [rpm] |
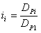
D p | Pitch pulley diameter [m] |
v | Belt speed [m/s] |
k | Number of pulleys within belt transmission [-] |
L | Belt pitch length [m] |
P | power to transmit [W] |
m | Specific belt weight for given width [Kg/m] |
k 1 | Belt tension factor [-] |
F p | Effective pull [N] |
F c | Centrifugal force [N] |
F t | Minimum belt installation tension [N] |
P xi | Power ratio of given pulley [-] |
D pi | Pitch pulley diameter [m] |
i | Transmission ratio (speed ratio) of given pulley [-] |
T i | Torque acting on given pulley [Nm] |
| η | Efficiency [-] |
p b | Circular pitch [m] |
D | Nominal flat pulley diameter [m] |
H | Belt height [m] |
h T | Belt tooth height [m] |
a | Pitch line offset [m] |
Note: i = index of the pulley
Calculation Basics