Involute Spline Calculation Formulas in Metric Units
Transferred torque

where:
| | P | transferred power [Kw] |
| | n | speed [min -1 ] |
Pressure on groove supporting surface
1. shaft inside diameter d h > 0
a) 
b) if d min ≤d h -> d min = 1.1 d h [mm]
c) if d min ≤ 1.5 d h -> d min = 1.5 d h [mm]
2. shaft inside diameter d h = 0

where:
| | d min | minimal shaft diameter [mm] |
| | d h | shaft inside diameter [mm] |
| | T | torque [Nm] |
| | K a | application factor |
| | K f | fatigue-life factor |
| | S v | desired safety |
| | τ Al | Allowable Shear Stress |
Minimum splines length to transfer the torque
1. Fixed connection: | |
2. Flexible connection: | |
where: | |
| | T | torque [Nm] |
| | K a | application factor |
| | K f | wear-life factor |
| | K w | application factor |
| | K m | load distribution factor |
| | S v | desired safety |
| | d s | middle diameter = (D + d) / 2 [mm] |
| | D | outside diameter of groove section [mm] |
| | d | inside diameter of groove section [mm] |
| | N | number of grooves [-] |
| | h | height of groove = (D - d) / 2 [mm] |
| | s | chamfer [mm] |
| | h st | connection height h st = h - 2 s [mm] |
| | p Dmin | allowable pressure on supporting surface of shaft or groove [MPa] |
Allowable pressure
1. Fixed connection: | |
2. Flexible connection: | |
where: | |
| | T | torque [Nm] |
| | K a | application factor |
| | K f | wear-life factor |
| | K w | application factor |
| | K m | load distribution factor |
| | S v | desired safety |
| | d s | middle diameter = (D + d) / 2 [mm] |
| | D | outside diameter of groove section [mm] |
| | d | inside diameter of groove section [mm] |
| | N | number of grooves [-] |
| | h | height of groove = (D - d) / 2 [mm] |
| | s | chamfer [mm] |
| | h st | connection height h st = h - 2 s [mm] |
| | l f | active key length [mm] |
Strength Check
p min ≤ p ds
p min ≤ p dh
where:
| | p min | minimal calculated h/2 pressure [MPa] |
| | p ds | allowable pressure in shaft [MPa] |
| | p dh | allowable pressure in hub [MPa] |
Metric calculation according to CSN 01 4950
Bending stress

where:
s sf | shaft chordal tooth dedendum thickness | s sf = 2.17m | |
h | shaft tooth height | h = 1.1m - 0.05 | centering to tooth sides, flat groove bottom |
| | | h = 1.28m - 0.05 | centering to tooth sides, round groove bottom |
| | | h = 1.2 m | outside centering |
Pressure on groove supporting groove surface

where:
| | h n | load bearing spline height | h n = 0.9 m - 0.05 |
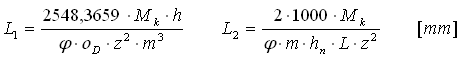
Minimum splines length
L min = max {L 1 , L 2 } [mm]
where:

Recommended values: L = (0.8 - 1.6) D
Splines check
p ≤ p d and σ≤σ d
where:
| | P | transferred power [kW] |
| | n | speed [min -1 ] |
| | z | tooth number [-] |
| | p D | allowable pressure on contact surfaces of teeth [MPa] |
| | σ D | allowable bending stress [MPa] |
| | L | active spline length [mm] |
| | D | nominal spline diameter [mm] |
| | φ | factor of tooth side contact |