Adding wiring to your design is optional. You can create circuits without wiring, as Revit maintains the intelligence associated with the circuit.
Permanent wiring can be added using one of the following methods:
Convert to Wire panel. After creating permanent wiring, the wiring remains visible in the view when the circuit is not selected.
Electrical panel.
You use circuit properties to specify the type of cable used in a circuit. See Circuit Properties.
Convert a circuit to permanent wiring
Select the type of wiring for the circuit
Arced wiring is often used to represent wiring that is concealed within walls, ceilings, or floors.
Chamfered wiring is often used to represent exposed wiring.
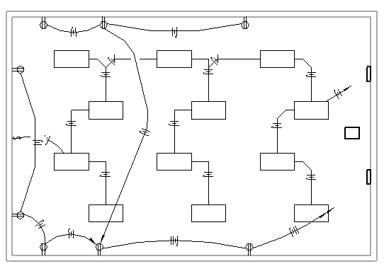
In the following example, the arc wiring connects the receptacles and chamfered wiring connects the lighting fixtures. Home runs are added automatically to indicate connection to a panel.
