Casos teóricos de validación de la simulación
Uno de los pasos responsables del proceso de diseño es la validación. Para validar un diseño, suele ser mejor utilizar casos teóricos fiables con los que establecer comparaciones. A continuación detallamos estos casos.
Los casos describen las ecuaciones y asunciones utilizadas para conseguir validar los resultados de una simulación.
Desplazamiento, caso del muelle-masa
Un caso sencillo de validación de muelle y masa.

Ley de Newton:
(1)
Con:
| | Valor numérico: |
|---|
: posición basada en el tiempo t | |
: velocidad | |
: aceleración | |
= masa del cuerpo en kg | 10 |
= amortiguamiento del muelle en N.s/m | 20 |
= rigidez del muelle en N/m | 15000 |
= longitud libre del muelle en m | 0.3 |
= gravedad en m/s2 | 9.81 |
posición inicial en m | 0.33 |
= velocidad inicial en m/s | 0,0 |
(1) |
con  |
| | (2)
|
Una solución para esta ecuación diferencial es: |
| | (3)
|
Una solución concreta, si el sistema está estabilizado, es para y x = B. |
Seguidamente (2)  |  |
| | 
|
| | (4)
|
Las condiciones iniciales proporcionan el valor de A y : |
para t = 0.0, (3)  |  |
| | (5)
|
| | y |
| | (6)
|
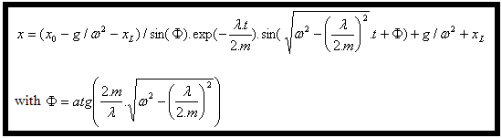
Por último, (4) y (6) se registran en (3) y se concluye la ecuación del desplazamiento: |
| 
|
Esta ecuación se programa en Excel y los resultados se comparan con los producidos por Simulación dinámica. Son idénticos. |
| |
Posición y velocidad, caso del pistón-cigüeñal
La finalidad de este caso de validación es comprobar los datos de posición y velocidad de un mecanismo de cigüeñal y de pistón cuando se obtienen en Simulación dinámica, y comprobar que coinciden con los valores arrojados por las ecuaciones teóricas.
Valores conocidos: el "impulso" o la distancia del cojinete transversal del cigüeñal desde su centro de giro y la longitud de la varilla de conexión entre el cojinete transversal principal y la unión de pasador del pistón.
Diagrama

Definición | R = longitud (OP) = impulso del cigüeñal L = longitud (PQ) = longitud de varilla de conexión |
| | |
Velocidad del punto Q en relación al sistema de coordenadas absoluto R0 = (x0, y0) |
| | // posición de Q en R0 |
| | // velocidad de Q en R0 |
| Con: 
|
| y: 
|
| |
con:  |
y;  |
Entonces:  |
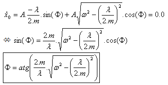
El punto Q permanece en el eje y0 y el componente x0 es 0.0 : |
| |
| |
| Por último, utilizando (1): | |
| | |
La ecuación (1) proporciona : no es una ecuación lineal basada en el tiempo, por lo que no es una constante y no es una función periódica simple. |
(1)  |
y  |
Con MS Excel y valores numéricos (L=0.125 m, R=0.06 m y rad/s), calculamos la posición y la velocidad del punto Q del siguiente modo: |
Posición: | |
| |
Velocidad: | |
| |
El resultado: las curvas de la simulación dinámica son idénticas a las producidas por las ecuaciones teóricas.