Cálculo de longitud de la correa síncrona

La longitud de paso de la correa viene determinada por el número de dientes de la correa y la separación circular. La trayectoria de la correa se basa en la posición de la polea individual. El diámetro de separación de cada polea viene determinado por las siguientes ecuaciones. La posición de la polea deslizante se ajusta para cumplir los criterios estándar de longitud de correa. El cálculo utiliza la solución de iteración para encontrar la posición adecuada de la polea deslizante que más se acerque a la posición deseada.

Cálculo del diámetro de separación exacto

 

Polea síncrona en el sentido de las agujas del reloj o correa de doble cara

 

 

Polea plana en el sentido de las agujas del reloj o correa de doble cara

D p = D + 2(a + h t )

 

Polea síncrona en el sentido contrario a las agujas del reloj y correa de una sola cara

D p = D 0 + 2(H - a - h t )

 

Polea plana en el sentido contrario a las agujas del reloj y correa de una sola cara

D p = D + 2(H - a - h t )

Ejemplo de transmisión de potencia con dos poleas

Arco de contacto

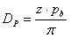
Longitud de correa de separación

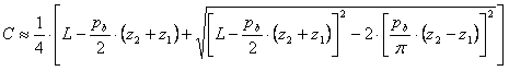
Distancia al centro

Se recomienda utilizar la siguiente fórmula para calcular la distancia al centro de una nueva transmisión

0,2 p b (z 1 + z 2 ) ≤ C ≤ 0,7 p b (z 1 = z 2 )

Significado de las variables utilizadas:

z

Número de dientes de la polea especificada/Número de dientes de la correa [-]

p b

Separación circular [m]

D

Diámetro nominal de polea plana [m]

a

Desfase de línea de paso [m]

h t

Altura del diente de la correa [m]

D 0

Diámetro exterior de polea síncrona [m]

H

Altura de la correa [m]

C

Distancia al centro de la polea especificada y la polea de transmisión [m]

  β

Arco de contacto [gr]