Cálculo de las proporciones de resistencia de correas síncronas
| 
| Para cada polea |
F 2 - F 1 + F p = 0 |
| 
|
| 
|
| 
|
Para la polea motriz

| 
| v ≤ v max |
| 
| f b ≤ f max |

F c = mv 2
F Tmax = k 1 F p + F c
F 1 = F tmax
F 2 = F 1 - F p
Para poleas conducidas e intermedias individuales
índice i de la polea
F Pi = P xi F p



F 1i = F 2i-1
F 2i = F 1i + F p i
donde:
para una polea síncrona
para una polea plana
Para toda la transmisión de correa

La tensión de instalación requerida de la correa se determina a partir de las fuerzas que actúan sobre la polea motriz de la siguiente forma

Ejemplo de transmisión de potencia con polea intermedia

Polea motriz | Polea plana | Polea conducida |
P x1 = 1 | P x2 = 0 | P x3 = 1 |
| 
| 
| F P3 = P x3 F p |
| 
| 
| 
|
| 
| 
| 
|
| 
| F 12 = F 21 | 
|
| 
| F 22 = F 12 + F p2 = F 12 | 
|
F c = m v 2 | 
| 
|
F Tmax = k 1 F p + F C | - | F 13 = F 22 |
F 11 = F Tmax | - | F 23 = F 13 + F p3 = F 11 |
F 21 = F 11 - F p | - | 
|
| 
| - | - |
Significado de las variables utilizadas:
F p | Desmoldeo efectivo [N] |
F 1 | Tensión de correa en lado de entrada de la polea especificada [N] |
F 2 | Tensión de correa en lado de salida de la polea especificada [N] |
z | Número de dientes de la polea especificada/Número de dientes de la correa [-] |
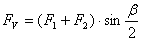
| β | Arco de contacto/ángulo del diente de inclinación lateral [gr] |
P | potencia para transmitir [W] |
P R | Tasa de potencia de correa para un esbozo de transmisión dado [W] |
c L | Factor de servicio [-] |
| β | Arco de contacto [gr] |
T | Par de torsión en una polea especificada [Nm] |
n | Velocidad de la polea especificada [rpm] |
D p | Diámetro de separación de polea [m] |
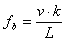
v | Velocidad de correa [m/s] |
k | Número de poleas en la transmisión de correa [-] |
L | Longitud de paso de correa [m] |
P | potencia para transmitir [W] |
m | Peso específico de correa para anchura determinada [Kg/m] |
k 1 | Factor de tensión de correa [-] |
F p | Desmoldeo efectivo [N] |
F c | Fuerza centrífuga [N] |
F t | Tensión mínima de instalación de correa [N] |
P xi | Tasa de potencia de polea especificada [-] |
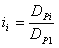
D pi | Diámetro de separación de polea [m] |
i | Tasa de transmisión (tasa de velocidad) de polea especificada [-] |
T i | Par de torsión en una polea especificada [Nm] |
| η | Eficiencia [-] |
p b | Separación circular [m] |
D | Diámetro nominal de polea plana [m] |
H | Altura de la correa [m] |
h T | Altura del diente de la correa [m] |
a | Desfase de línea de paso [m] |
Nota: i = índice de la polea
Conceptos básicos de cálculo