Estas fórmulas se usan para resolver un eje (con una o varias secciones) o una viga (con una sección constante) con diversos soportes y cargas.
El eje geométrico de la viga o del eje está alineado con el eje Z. Si se incluye en el cálculo el impacto de la densidad del material, el vector de la gravedad está alineado con el eje Y.
Fuerzas de corte:
![]()
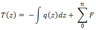
Momentos de plegado:
![]()
Ángulo de flexión:
![]()
donde:
E | módulo de elasticidad en tensión | |
J | momento de inercia | |
G | módulo de rigidez | |
| β | coeficiente de desplazamiento cortante |
Flexión:
![]()
Tensión de plegado:
![]()
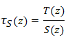
Tensión de corte:
![]()
Tensión de torsión:
![]()
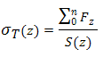
Tensión:
![]()
Tensión reducida:
![]()
donde:
| σ B | tensión de plegado | |
| σ T | tensión | |
| τ | tensión de torsión | |
| τ S | tensión de corte | |
| α | α = 3 para HMH | |
| α = 4 para Tresca-Guest |
Ejemplo de cálculo
![]()
Módulo de elasticidad E= 210 000 MPa
Módulo de rigidez G = 81 000 MPa
Coeficiente de desplazamiento cortante β = 1,118
Modo de tensión reducida: HMH
No incluir la densidad del material.
Fuerzas de soporte:
![]()
![]()
Tensión de corte máxima:
![]()
Tensión de torsión máxima:
![]()
Momento máximo:
![]()
Tensión de plegado máxima:
![]()
Tensión reducida máxima:
![]()
Ángulo de torsión:
![]()
![]()