Cálculo de las proporciones de resistencia de correas trapezoidales

Ecuaciones generales utilizadas

 

 

Donde m es una masa de correa específica definida como m = S ρ

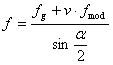
Factor de fricción modificado de la polea especificada

 

 

 

f = f g + v f mod

Ecuaciones fundamentales de poleas impulsoras y correas

potencia para transmitir

Velocidad de correa

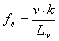
Frecuencia de flexión de correa

Desmoldeo efectivo (o tensión efectiva)

Fuerza centrífuga

Fc = z m v 2

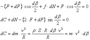
Tensión en los intervalos de la correa

Con las ecuaciones siguientes, la aplicación primero determina la polea que con mayor probabilidad requiera la tensión máxima de instalación de correa para poder transmitir una carga. Seguidamente, la tensión de correa de cada intervalo se ajusta para todas las poleas con respecto a la tensión de instalación de correa inicial.

 

 

F 1i - F p P xi - F 2i = 0

 

 

El criterio para determinar la polea más probable es la tensión del lado de máximo apriete

F 1max = max (F 1i )

La tensión máxima total en el intervalo de correa (por cada correa) cuando la transmisión de la correa se encuentra bajo carga completa se determina como

Donde la expresión “k 1 F 1max” es la tensión máxima real en el alcance de correa considerado para todas las correas de la transmisión de correa. De este modo, todas las tensiones correspondientes de los distintos alcances se calculan de nuevo para cumplir la siguiente condición:

F 1i - F P P xi - F 2i = 0

Carga axial resultante para cada polea cuando la transmisión de la correa se encuentra bajo carga completa

Nota: En las poleas conducidas y las poleas intermedias, F 1 y F 2 se invierten en el generador, de manera que F 1 es la tensión de entrada en el intervalo de la correa y F 2 es la tensión de salida en el intervalo de la correa en el sentido del movimiento de la correa.

Tensión de instalación inicial de la correa y fuerza de tensado estática

La tensión de instalación inicial de la correa requerida (por cada correa) se puede ajustar con el factor de tensado y se calcula del modo siguiente:

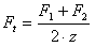
La fuerza de tensado estática F v se determina para cada polea. La aplicación calcula la fuerza de tensado que actúa sobre el eje de los intervalos de la correa de la forma siguiente:

 

 

Significado de las variables utilizadas:

FFuerza tangencial [N]
  βArco de contacto [gr]
  αÁngulo de cuña [gr]
CFuerza centrífuga [N]
NFuerza normal [N]
mMasa específica de la correa [kg/m]
vVelocidad de correa [m/s]
RRadio de polea [m]
SÁrea de la sección transversal de la correa [m 2 ]
TPar de torsión en una polea especificada [Nm]
D pDiámetro de separación de polea [m]
kNúmero de poleas [-]
Ppotencia para transmitir [N]
vVelocidad de correa [m/s]
F cFuerza centrífuga [N]
F 1Tensión en intervalo de correa en entrada para polea especificada [-]
F 2Tensión en intervalo de correa en salida para polea especificada [-]
fFactor de fricción modificado de la polea especificada [-]
P xTasa de potencia de polea especificada [-]
f gFactor de fricción de material y correa de la polea especificada [-]

f mod

Factor de velocidad de modificación de fricción [s/m]
ZNúmero de correas [-]
  ρDensidad de la correa [kg/m3]
F tTensión inicial de instalación de correa [N
F vFuerza de tensado estática para la polea especificada [N]
k 1Factor de tensión de correa [-]
Nota: i - índice de la polea