Cálculos de juntas de ejes de articulación en unidades métricas

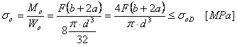
Tensión de plegado

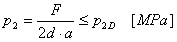
Presión en la varilla

Presión en la horquilla

Tensión de corte

donde:
| | F | fuerza [N] |
| | σ 0 | tensión de plegado [MPa] |
| | σ 0D | tensión de plegado admitida [MPa] |
| | M 0 | momento de plegado [N mm] |
| | W 0 | módulo de la sección de plegado [mm 3 ] |
| | τ | tensión de corte [MPa] |
| | τ D | tensión de corte admitida [MPa] |
| | d | diámetro del pasador [mm] |
| | p 1 | presión en la varilla [MPa] |
| | p 2 | presión en la horquilla [MPa] |
| | p 1D | presión admitida en la varilla [MPa] |
| | p 2D | presión admitida en la horquilla [MPa] |
| | b | anchura de la varilla [mm] |
| | a | anchura del brazo de la horquilla [mm] |