Fórmulas de cálculo de ranuras con curva envolvente en unidades métricas
Par de torsión transferido

donde:
| | P | potencia transferida [Kw] |
| | n | velocidad [min -1 ] |
Presión en la superficie de soporte de la ranura
1. diámetro interior del eje d h > 0
a) 
b) si d min ≤d h -> d min = 1,1 d h [mm]
c) si d min ≤ 1,5 d h -> d min = 1,5 d h [mm]
2. diámetro interior del eje d h = 0

donde:
| | d min | diámetro mínimo del eje [mm] |
| | d h | diámetro interior del eje [mm] |
| | T | par de torsión [Nm] |
| | K a | factor de aplicación |
| | K f | factor de vida útil de fatiga |
| | S v | seguridad deseada |
| | τ Al | Tensión de corte admitida |
Longitud mínima de las ranuras para transferir el par de torsión
1. Conexión fija: | |
2. Conexión flexible: | |
donde: | |
| | T | par de torsión [Nm] |
| | K a | factor de aplicación |
| | K f | factor de vida útil de desgaste |
| | K w | factor de aplicación |
| | K m | factor de distribución de la carga |
| | S v | seguridad deseada |
| | d s | diámetro medio = (D + d) / 2 [mm] |
| | D | diámetro exterior de la sección de la ranura [mm] |
| | d | diámetro interior de la sección de la ranura [mm] |
| | N | número de ranuras [-] |
| | h | altura de la ranura = (D - d) / 2 [mm] |
| | s | chaflán [mm] |
| | h st | altura de conexión h st = h - 2 s [mm] |
| | p Dmin | presión admitida en la superficie de soporte del eje o la ranura [MPa] |
Presión admitida
1. Conexión fija: | |
2. Conexión flexible: | |
donde: | |
| | T | par de torsión [Nm] |
| | K a | factor de aplicación |
| | K f | factor de vida útil de desgaste |
| | K w | factor de aplicación |
| | K m | factor de distribución de la carga |
| | S v | seguridad deseada |
| | d s | diámetro medio = (D + d) / 2 [mm] |
| | D | diámetro exterior de la sección de la ranura [mm] |
| | d | diámetro interior de la sección de la ranura [mm] |
| | N | número de ranuras [-] |
| | h | altura de la ranura = (D - d) / 2 [mm] |
| | s | chaflán [mm] |
| | h st | altura de conexión h st = h - 2 s [mm] |
| | l f | longitud activa de la chaveta [mm] |
Comprobación de resistencia
p min ≤ p ds
p min ≤ p dh
donde:
| | p min | presión mínima calculada h/2 [MPa] |
| | p ds | presión admitida en el eje [MPa] |
| | p dh | presión admitida en la brida [MPa] |
Cálculo en unidades métricas según la norma CSN 01 4950
Tensión de plegado

donde:
s sf | grosor de altura de pie del diente de cuerda del eje | s sf = 2,17m | |
h | altura del diente de la polea | h = 1,1m - 0,05 | centrado en los lados del diente, parte inferior de la ranura plana |
| | | h = 1,28m - 0,05 | centrado en los lados del diente, parte inferior de la ranura redonda |
| | | h = 1,2 m | centrado exterior |
Presión en la superficie de soporte de la ranura

donde:
| | h n | altura de la ranura del rodamiento con carga | h n = 0,9 m - 0,05 |
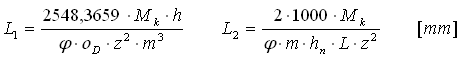
Longitud mínima de las ranuras
L min = max {L 1 , L 2 } [mm]
donde:

Valores recomendados: L = (0,8 - 1,6) D
Comprobación de las ranuras
p ≤ p d y σ≤σ d
donde:
| | P | potencia transferida [kW] |
| | n | velocidad [min -1 ] |
| | z | número de dientes [-] |
| | p D | presión admitida por contacto en las superficies de los dientes [MPa] |
| | σ D | tensión de plegado admitida [MPa] |
| | L | longitud activa de la ranura [mm] |
| | D | diámetro de ranura nominal [mm] |
| | φ | factor de contacto del lado del diente |