Fórmulas de cálculo de uniones de chaveta en unidades métricas

Par de torsión transferido

donde:
| | P | potencia [kW] |
| | n | velocidad [rpm] |
Cálculo del diámetro de eje mínimo
1. diámetro interior del eje d h > 0
a) 
b) si d min ≤d h -> d min = 1,1 d h [mm]
c) si d min ≤ 1,5 d h -> d min = 1,5 d h [mm]
2. diámetro interior del eje d h = 0

donde:
| | d min | diámetro mínimo del eje [mm] |
| | d h | diámetro interior del eje [mm] |
| | T | par de torsión [Nm] |
| | K a | factor de aplicación |
| | K f | factor de vida útil de fatiga |
| | S v | seguridad deseada |
| | τ A | Tensión de corte admitida |
Cálculo general
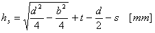
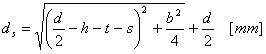
| | rango de la actividad de la fuerza en el eje |
h k = h - h s - 2 s [mm] | rango de la actividad de la fuerza en la brida |
| | diámetro del eje en el rango de la actividad de la fuerza |
| | diámetro de la brida en el rango de la actividad de la fuerza |
| | fuerza en el eje |
| | fuerza en la brida |
donde: | |
| | T | par de torsión [Nm] |
| | F s | fuerza en el eje [N] |
| | F h | fuerza en la brida [N] |
| | K a | factor de aplicación |
| | K f | factor de vida útil de desgaste |
| | K w | factor de aplicación |
| | K m | factor de distribución de la carga |
| | S v | seguridad deseada |
| | d | diámetro del eje [mm] |
| | d s | diámetro del eje donde actúa la fuerza F s [mm] |
| | d h | diámetro del eje donde actúa la fuerza F d [mm] |
| | N | número de ranuras [-] |
| | h | altura de la ranura |
| | h s | altura de punto de fuerza de acción en el eje [mm] |
| | h h | altura de punto de fuerza de acción en la brida [ mm] |
| | b | anchura de la ranura |
| | t | profundidad de ranura en el eje [mm] |
| | s | chamfer |
| | p Dmins | presión mínima admitida (ranura, eje) [MPa] |
| | p Dminh | presión mínima admitida (ranura, brida) [MPa] |
Longitud mínima de chaveta para transferir el par de torsión
1. Conexión fija: | a) |
| | b) |
| | L min = min(L mins , L minh ) |
2. Conexión flexible: | a) |
| | b) |
| | L min = min(L mins , L minh ) |
donde: | |
| | F s | fuerza en el eje [N] |
| | F h | fuerza en la brida [N] |
| | K a | factor de aplicación |
| | K f | factor de vida útil de desgaste |
| | K w | factor de aplicación |
| | K m | factor de distribución de la carga |
| | S v | seguridad deseada |
| | d | diámetro del eje [mm] |
| | N | número de ranuras [-] |
| | h s | altura de punto de fuerza de acción en el eje [mm] |
| | h h | altura de punto de fuerza de acción en la brida [ mm] |
| | p Dmins | presión mínima admitida (ranura, eje) [MPa] |
| | p Dminh | presión mínima admitida (ranura, brida) [MPa] |
Presión mínima admitida
1. Conexión fija: | a) |
| | b) |
2. Conexión flexible: | a) |
| | b) |
donde: | |
| | F s | fuerza en el eje [N] |
| | F h | fuerza en la brida [N] |
| | K a | factor de aplicación |
| | K f | factor de vida útil de desgaste |
| | K w | factor de aplicación |
| | K m | factor de distribución de la carga |
| | S v | seguridad deseada |
| | d | diámetro interior de la sección de la ranura [mm] |
| | N | número de ranuras [-] |
| | h s | altura de punto de fuerza de acción en el eje [mm] |
| | h h | altura de punto de fuerza de acción en la brida [ mm] |
| | l f | longitud activa de la chaveta [mm] |
Comprobación de resistencia
p mins ≤ p Ds
p minh ≤ p Dh
donde:
| | p mins | presión de corte mínima calculada en el eje [MPa] |
| | p minh | presión de corte mínima calculada en la brida [MPa] |
| | p Ds | presión admitida en el eje [MPa] |
| | p Dh | presión admitida en la brida [MPa] |
Cálculo simplificado
Longitud mínima de chaveta para transferir el par de torsión
1. Conexión fija: | |
2. Conexión flexible: | |
donde: | |
| | T | par de torsión [Nm] |
| | K a | factor de aplicación |
| | K f | factor de vida útil de desgaste |
| | K w | factor de aplicación |
| | K m | factor de distribución de la carga |
| | S v | seguridad deseada |
| | d | diámetro del eje [mm] |
| | N | número de ranuras [-] |
| | h | altura de la ranura |
| | s | chamfer |
| | h st | altura de conexión h st = h - 2 s [mm] |
| | p Dmin | presión admitida en la superficie de soporte del eje, ranura o brida [MPa] |
Presión admitida
1. Conexión fija: | |
2. Conexión flexible: | |
donde: | |
| | T | par de torsión [Nm] |
| | K a | factor de aplicación |
| | K f | factor de vida útil de desgaste |
| | K w | factor de aplicación |
| | K m | factor de distribución de la carga |
| | S v | seguridad deseada |
| | d | diámetro del eje [mm] |
| | N | número de ranuras [-] |
| | h | altura de la ranura |
| | s | chamfer |
| | h st | altura de conexión h st = h - 2 s [mm] |
| | l f | longitud activa de la chaveta [mm] |
Comprobación de resistencia
p min ≤ p Ds
p min ≤ p Dh
donde:
| | p min | presión mínima calculada h/2 [MPa] |
| | p Ds | presión admitida en el eje [MPa] |
| | p Dh | presión admitida en la brida [MPa] |