Fórmulas de bridas separadas para el cálculo en unidades imperiales

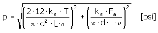
Presión de contacto

Longitud mínima de la brida

Valores recomendados : L = (0,6 - 3) d
Fuerza soportada por un perno

Comprobación de resistencia
p ≤ p A
donde:
| | F a | fuerza axial [libras] |
| | T | par de torsión [libras/pies] |
| | d | diámetro del eje [pulg] |
| | p | presión de contacto en una junta [lpc] |
| | p A | presión admitida [lpc] |
| | L | longitud de la brida [pulg] |
| | υ | factor de fijación υ = 0,008 a 0,1 [-] |
| | k s | seguridad de deslizamiento [-] |
| | F | fuerza soportada por un perno [libras] |
| | F s | fuerza soportada por todos los pernos [libras] |
| | i | número total de pernos [-] |