Para un semieje especificado considerado siempre positivo (x>0), puede crear un conjunto de funciones fi determinadas en intervalos sucesivos separados por los puntos característicos xi.
Al definir la función fi para el intervalo especificado (xi, xi+1), se debe tener en cuenta lo siguiente:
Para designar un argumento de funciones creadas mediante expresiones, se debe utilizar el símbolo x o X. Las expresiones se pueden crear con los siguientes caracteres:
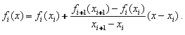
+, - , * , / , ^ (potencia),( ,) de acuerdo con los principios de las matemáticas. La expresión inf determina un valor igual al infinito de la función y(x). Las expresiones definidas incorrectamente (notación incorrecta) generarán valores de función cero. Si el argumento x se omite en una expresión, esto significa que la expresión utiliza un valor constante en un intervalo especificado (si la expresión se ha determinado mediante " "). Si una expresión constante se determina sin " ", su valor se usará como el valor de una función en el punto xi, mientras que los valores de x > xi se interpolarán linealmente entre los valores sucesivos de la función según la siguiente fórmula:

Cuando se define un modelo de rótula al determinar una función, recuerde que las cantidades que describen los parámetros de función deben expresarse en las unidades base de Robot y no se volverán a calcular una vez que se cambien las unidades.