Las dimensiones básicas de los muros se muestran en el dibujo siguiente.

Se asume que:
a ≥ 10 cm son muros internos
a ≥ 12 cm son muros externos
A continuación, se indican los pasos individuales del algoritmo de cálculo para los muros sometidos a cargas no sísmicas:
= muro no armado

= muro armado
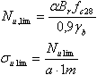
si λ ≤ 50, entonces

si 50 ≤ < 80, entonces
= muro no armado

= muro armado

Se comprueba la condición de capacidad de carga del muro para tres niveles de verificación. El diseño y la verificación de la capacidad de carga del muro armado se realiza en bandas cuya anchura depende de la geometría del muro (teniendo en cuenta los huecos) y del carácter del diagrama de tensiones en el muro. La anchura máxima de las bandas individuales se calcula de acuerdo con el punto 4,224 de la norma DTU 23.1. La división en bandas tiene en cuenta las concentraciones de esfuerzos, las zonas de tensión en el hormigón, así como puntos característicos como las zonas entre ventanas.
Las armaduras de una banda determinada se calculan con la tensión media o máxima a lo largo de la anchura de la banda, dependiendo de si se trata la compresión o la tensión.
En los siguientes pasos de cálculo se tiene en cuenta la capacidad de carga de un muro armado o no armado, respectivamente.
La condición de capacidad de carga del muro se comprueba para el nivel inferior del muro. Se comprueba la capacidad de carga de la sección de muro para comprobar si hay cargas verticales reducidas, y el refuerzo se distribuye uniformemente en toda la sección.
En los siguientes pasos de cálculo, se tiene en cuenta la capacidad de carga de un muro armado o no armado, respectivamente
La proporción mínima de la armadura vertical debe ser igual a:
La armadura horizontal cumple la condición relativa al grado de armadura:
(la armadura se distribuye uniformemente a lo largo de la altura del muro)
La influencia de la flexión se tiene en cuenta en cada punto de un muro mediante el análisis de un diagrama de tensión lineal, mientras que la armadura vertical cerca de los bordes se genera únicamente como armadura de construcción. Las zonas ocultas cerca de los bordes se crean mediante la generación de barras transversales que adoptan la armadura vertical distribuida sobre la anchura d' (para muros no sísmicos, esta dimensión es igual a max. (a;20cm))
Como se indica en los supuestos del método, los cálculos de esta armadura se centran en garantizar que una estructura es capaz de soportar la flexión con compresión; se genera en una "zona oculta" de la anchura igual a d".
La sección de acero para el cortante que atraviesa toda la longitud de la pared debe cumplir la siguiente condición:
donde:
At: área de armadura
a, s - espesor de la pared y separación de las barras horizontales
k - coeficiente teniendo en cuenta la influencia de las tensiones normales al plano de corte
Armaduras someras:
= vertical
= horizontal
Consulte también: Tipos de armaduras generadas para muros de hormigón armado