Cargas vivas

0

Sin regla. Se utiliza cuando no se ha definido una regla en la fórmula de una combinación para un tipo de carga determinado.

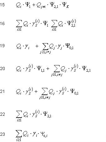
La regla no tiene en cuenta las subnaturalezas.

Nota: La fórmula permite un coeficiente ψ 0,1 y un coeficiente ψ K para todas las subnaturalezas.
Nota: La fórmula permite un coeficiente ψ 0,1 y un coeficiente ψ K para todas las subnaturalezas.
Nota: La fórmula permite un coeficiente ψ 0,3 para todas las subnaturalezas.
Nota: La fórmula permite un coeficiente ψ 0,3 y un coeficiente ψ K para todas las subnaturalezas.
Nota: La fórmula permite un coeficiente ψ 0,1 y un coeficiente ψ K para todas las subnaturalezas.
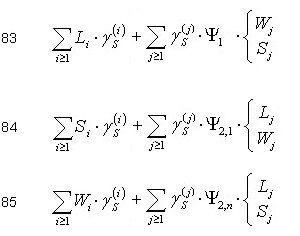
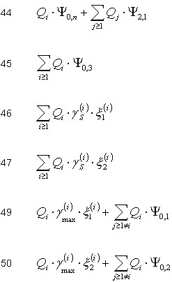
Nota: La fórmula permite un coeficiente ψ0,2 y un coeficiente ψ 2,n para todas las subnaturalezas.
Nota: La fórmula permite un coeficiente y 0,3 y un coeficiente ψ 0,2 para todas las subnaturalezas.
Nota: La fórmula permite un coeficiente ψ 0,3 y un coeficiente ψ 0,2 para todas las subnaturalezas.
Nota: La fórmula permite un coeficiente ψ 0,3 y un coeficiente ψ0,2 para todas las subnaturalezas.
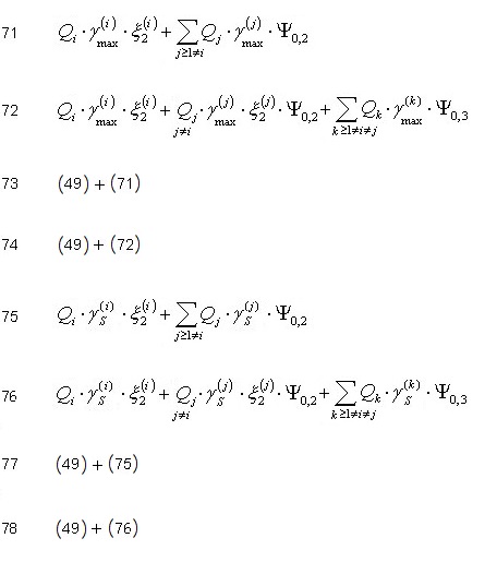
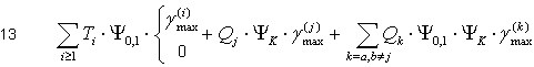
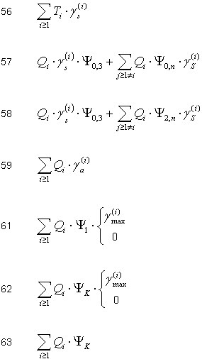
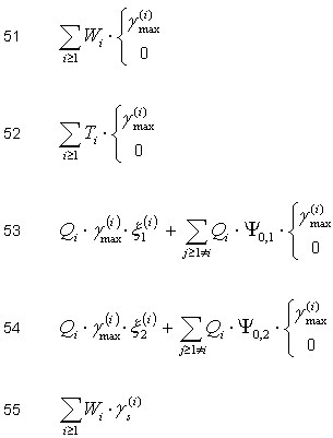
Nota: La fórmula permite un coeficiente ψ K para todas las subnaturalezas.
Nota: La fórmula permite un coeficiente ψ K para todas las subnaturalezas.
Nota: La fórmula permite un coeficiente ψ K para todas las subnaturalezas.
Nota: La fórmula permite un coeficiente ψ K para todas las subnaturalezas.
Nota: La fórmula ψ permite un coeficiente para todas las subnaturalezas.
Nota: La fórmula ψ permite un coeficiente para todas las subnaturalezas.
Nota: La fórmula permite un coeficiente ψK para todas las subnaturalezas.
Nota: La fórmula permite un coeficiente ψ K para todas las subnaturalezas.
Nota: La fórmula permite un coeficiente ψK para todas las subnaturalezas.
Nota: La fórmula permite un coeficiente ψK para todas las subnaturalezas.