Puede ser necesario un análisis de deslizamiento si la presencia de esfuerzos horizontales que actúan sobre una cimentación es alta en comparación con los esfuerzos verticales. Esta situación puede provocar daños en el suelo causados por el deslizamiento de la zapata de cimentación en el suelo o por el deslizamiento entre las capas de suelo cuando las capas situadas en la posición inferior son más débiles que las que están en contacto directo con la zapata.
Para evitar la pérdida de estabilidad frente al deslizamiento, se recomiendan las siguientes soluciones.
Durante el análisis de deslizamiento, tenga en cuenta que la cohesión del suelo directamente adyacente a la cimentación puede modificarse durante los trabajos de preparación o debido a la variación de la ubicación del nivel del agua. En tales casos, debe reducirse el valor de la cohesión del suelo.
Se puede seleccionar la opción Deslizamiento considerando la presión del suelo con todos los códigos (salvo ACI, CSA, DTU 13.12 y Fascicule Nº 62 - Titre V). La presión del suelo Pa y la presión pasiva Pp se calcularán de forma adicional.

La altura del modelo de presión es igual a las distancias siguientes:
La presión pasiva se calcula de acuerdo con la siguiente fórmula:
que para la segunda capa se entiende como:
.
La presión pasiva total del suelo se calcula como sigue:
Si se carga el relleno, se debe tener en cuenta el siguiente término en los cálculos:
La carga q debe ser constante y se multiplica por el coeficiente de mayoración. El algoritmo para el cálculo de P a es idéntico al de P p .
Puede definir una carga que actúa en un cuarto especificado de una cimentación aislada. La presión del suelo que actúa desde un lado determinado se calcula en proporción a la longitud de un cuarto seleccionado.

El deslizamiento considerando la presión del suelo se puede calcular para ambas direcciones simultáneamente, o para cada una por separado. Se selecciona en la lista para las direcciones X e Y, para la dirección X o para la dirección Y.
Cálculos para códigos individuales
El diseño del deslizamiento no está disponible para estos códigos. Si es necesario, compruebe este valor manualmente.
La condición general de la estabilidad al deslizamiento se presenta como se indica a continuación:
H ≤ H FRICTION
donde:
H FRICTION = V * tg(φ) + c * Ac
V: esfuerzo vertical.
j: ángulo de rozamiento interno del suelo.
c: cohesión.
Ac: área de contacto entre cimentación y suelo.
El diseño de este estado límite da como resultado el coeficiente de seguridad de una estructura: H FRICTION / H. El valor de este coeficiente es mayor o igual que 1.0.
Las opciones del cuadro de diálogo Opciones geotécnicas permiten el análisis de este estado límite, así como la determinación del valor límite del coeficiente.
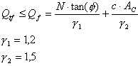
La condición general de la estabilidad al deslizamiento se presenta como se indica a continuación:
Qtf ≤ Qf = N * tg(ϕ) + c*Ac
donde:
Qtf: esfuerzo horizontal.
N: esfuerzo vertical.
ϕ: ángulo de rozamiento interno del suelo, suponiendo que el valor adoptado de tg(ϕ) no sea mayor que 0.5.
c: cohesión del suelo (no superior a 75 kPa).
Ac: área de contacto entre cimentación y suelo.
Cuando se produce un impacto sísmico, se ignora la cohesión del suelo (según los estudios), lo que da como resultado la reducción de la fórmula de deslizamiento a lo siguiente:
Durante el análisis de deslizamiento entre la cimentación y el hormigón de limpieza (no conectado a la cimentación mediante la armadura de espera), se introduce un coeficiente de rozamiento entre hormigón de limpieza y hormigón equivalente a 0.75.
Si las esperas garantizan una conexión permanente entre la cimentación y el hormigón de limpieza, esta condición no se comprueba.
El diseño de este estado límite da como resultado la obtención del coeficiente de seguridad de una estructura: Qtf / Qf. El valor de este es mayor o igual que 1.0.
La activación del análisis de este estado límite, así como la determinación del valor límite del coeficiente, se pueden llevar a cabo en el cuadro de diálogo Opciones geotécnicas.
El análisis de deslizamiento se realiza según el punto 6.5.3.
Dado que el código EC7 no impide tener en cuenta la cohesión del suelo en el análisis de deslizamiento 6.5.3 (8), existe la posibilidad de aplicar total o parcialmente la cohesión del suelo ampliando la fórmula con una parte adicional para la cohesión reducida.
donde:
El coeficiente j incluido en el intervalo <0.0, 1.0> se puede definir en el cuadro de diálogo Opciones geotécnicas.
A': área de trabajo de la cimentación (área de contacto entre cimentación y suelo).
c': valor de diseño de la cohesión efectiva del suelo.
Si se introduce el coeficiente 0.0, esta fórmula asume el formato exactamente como se especifica en el código (6.3).
Sd = A' * cu.
Si el área de trabajo no es igual al área de la cimentación (se produce un levantamiento), se comprueba la siguiente condición (6.5):
Sd < 0.4 Vd.
El análisis de deslizamiento se realiza según el punto 6.5.3.
La condición general se describe mediante la fórmula (6.2):
Hd ≤ Rd + Rp;d
Rd = V'd * tgδ d
Basándose en el punto A.2(2), que hace referencia al coeficiente de γ φ , se presupone que el valor de cálculo del coeficiente de rozamiento es de:
El parámetro tan d, que es un coeficiente característico del rozamiento entre el suelo y la cimentación, es una propiedad del suelo guardada en la base del suelo denominada coeficiente de rozamiento.
El parámetro tan d se utiliza para la cimentación formada directamente en el suelo, de acuerdo con el catálogo de suelos. Debe definirse según el código de la base del ángulo de rozamiento de la condición crítica tan δ = tan φ cv 6.5.3 (10) i A.2(2). Una vez activada la opción Cimentación prefabricada lisa 6.5.3(10) en el cuadro de diálogo Opciones geotécnicas de acuerdo con 6.5.3 (10) y A.2(2), el valor del coeficiente se calcula de la siguiente manera:
El código EC7 no recomienda tener en cuenta la cohesión del suelo en el análisis de deslizamiento 6.5.3 (10), aunque el programa permite tal posibilidad. La cohesión puede utilizarse parcial o totalmente introduciendo un elemento adicional en la fórmula (6.3a):
Rd = V'd * tgδ d + ξ * A c * c u
donde:
El coeficiente incluido en el intervalo <0.0, 1.0> se puede definir en el cuadro de diálogo Opciones geotécnicas.
A': área de trabajo de la cimentación (área de contacto entre cimentación y suelo).
c': valor de diseño de la cohesión efectiva del suelo.
Valor por defecto del coeficiente de reducción ξ = 0.0.
Rd = A c * c u;d
Si el área de trabajo no es igual al área de la cimentación (se produce un levantamiento), se comprueba la siguiente condición (6.5):
Rd < 0.4 Vd.
La condición general de la estabilidad al deslizamiento se presenta como se indica a continuación:

donde:
Qtf: esfuerzo horizontal.
N: esfuerzo vertical.
φ: ángulo de rozamiento interno del suelo.
c: cohesión del suelo (no superior a 75 kPa).
Ac: área de contacto entre cimentación y suelo.
Si se produce un impacto sísmico, se ignora la cohesión del suelo (según los estudios), lo que da como resultado la reducción de la fórmula de deslizamiento a lo siguiente:
Durante el análisis de deslizamiento entre la cimentación y el hormigón de limpieza (no conectado a la cimentación mediante la armadura de espera), se introduce un coeficiente de rozamiento entre hormigón de limpieza y hormigón equivalente a 0.75.
Si las esperas garantizan una conexión permanente entre la cimentación y el hormigón de limpieza, esta condición no se comprueba.
El diseño de este estado límite da como resultado la obtención del coeficiente de seguridad de una estructura: Qtf / Qf. El valor de este es mayor o igual que 1.0.
La activación del análisis de este estado límite, así como la determinación del valor límite del coeficiente, se pueden llevar a cabo en el cuadro de diálogo Opciones geotécnicas.
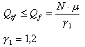
La condición del deslizamiento de cimentación no se proporciona directamente en el código PN-81/B-03020 [A3]. La siguiente información hace referencia directa al código PN-83/B-03010 [A4]. La condición general de la estabilidad al deslizamiento según este código y estudios se presenta como se indica a continuación:
para la capa situada debajo del nivel de contacto:
donde:
F r : valor de diseño de una fuerza de desplazamiento.
N: valor de diseño de un esfuerzo vertical en el nivel de referencia.
A'c : área reducida de la base de la cimentación.
ϕ: valor de diseño del ángulo de rozamiento interno del suelo.
Ac: área de contacto entre cimentación y suelo (área reducida de la base de cimentación).
μ: coeficiente de rozamiento entre cimentación y suelo.
c t: valor reducido de cohesión = (0.2 a 0.5) * cu.
c u : valor de diseño de la cohesión del suelo.
m: coeficiente correctivo.
Como resultado del diseño de este estado límite, se obtiene el siguiente coeficiente de seguridad de la estructura:
La activación del análisis de este estado límite, así como la determinación del valor límite del coeficiente, se pueden llevar a cabo en el cuadro de diálogo Opciones geotécnicas.
La condición general de la estabilidad al deslizamiento se presenta como se indica a continuación:
donde:
H: esfuerzo horizontal.
γc : coeficiente de entorno.
γ n: factor de fiabilidad que tiene en cuenta el uso al que se pretende destinar una estructura.
V: esfuerzo vertical.
φ: ángulo de rozamiento interno del suelo.
c: cohesión del suelo.
Ac: área de contacto entre cimentación y suelo.
Como resultado del diseño de este estado límite, se obtiene el siguiente coeficiente de seguridad de la estructura:
La activación del análisis de este estado límite, así como la determinación del valor límite del coeficiente, se pueden llevar a cabo en el cuadro de diálogo Opciones geotécnicas.