Modelo parabólico (según la CE)

Los siguientes parámetros del modelo parabólico (según la norma CE) se definen para los argumentos positivos x>0. También se especifica el valor de la derivada necesaria para definir la rigidez.

Cantidades auxiliares:

Función:

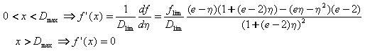
Derivada (rigidez):

Limitaciones: