La capacidad de carga del suelo es un estado límite principal del dimensionamiento de la cimentación, por lo que no se puede desactivar durante el dimensionamiento o el análisis de una cimentación. El análisis de este estado consiste en comparar el valor máximo de la fuerza o la tensión resultante de las cargas externas con los valores permitidos. Los valores permitidos los define el usuario o se calculan en función de los parámetros de suelo.
Cuando se calculan los valores, existe la posibilidad de realizar un análisis del suelo estratificado. Los valores definidos por el usuario de las tensiones admisibles se comparan con los valores directamente debajo de la base de la cimentación.
La capacidad de carga del suelo definida por el usuario se compara con lo siguiente:
Cálculos para normas individuales
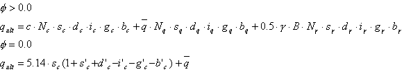
En los estudios, se han presentado varios métodos básicos para calcular la capacidad de carga del suelo. Estos métodos calculan las tensiones admisibles en el suelo o la fuerza admisible correspondiente a ellas. Cronológicamente, estos métodos son los siguientes: Terzagi (1943), Meyerhof (1963) y Hansen (1970) y Versić (1973, 1975). Hansen se utiliza junto con las directrices para ello presentadas en los estudios. La fórmula básica para la capacidad de carga de Hansen es la siguiente:

Se ha limitado a casos analizados en el módulo de cimentación aislada. Se presuponen los factores responsables de la inclinación de la cimentación b y la pendiente del talud g igual a 1.0.
Dado que en el módulo no se permite utilizar suelos de ángulo de fricción φ = 0.0 grados, solo se aplica la primera de las fórmulas de Hansen. La fórmula final para el cálculo de las tensiones admisibles para ACI \ BS 8004:1986 \ CSA es la siguiente:
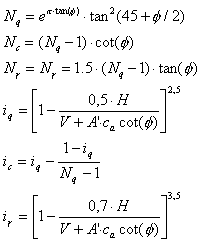
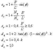
donde los factores pertinentes son iguales a:

y el área efectiva A' = B' * L'.

donde:

El valor calculado qult dividido por el factor de seguridad SF=3.0 se compara con la tensión media máxima en el suelo, inducida en el SLS:
Para las normas francesas, están disponibles los siguientes métodos de cálculo de la capacidad de carga del suelo:
Laboratorio
Los cálculos de ambas normas se realizan según la sección 3.21 de DTU 13.12 (Fascicule no proporciona directrices en cuanto al método de laboratorio).
La condición general de capacidad de carga se expresa de la siguiente manera:
.
Se supone que qref indica la máxima tensión media que se produce bajo la cimentación en ELU, mientras que gg es un coeficiente igual a 2 para la combinación ELU y a 1.5 para la combinación ELU con cargas de viento.
Los cálculos de capacidad de carga se realizan de la siguiente manera:
.
Los coeficientes de capacidad de carga no dimensionales son iguales a:
.
Los coeficientes de forma no dimensionales son iguales a:
.
Los coeficientes no dimensionales de inclinación de una carga inducida por la fuerza horizontal H son iguales a:
.
Presiométrico completo
Los cálculos se basan en una curva definida por el usuario como resultado del estudio presiométrico in situ. El tipo de suelo es un parámetro significativo en el nivel de referencia de la cimentación. El tipo de suelo determina los coeficientes utilizados en los cálculos de la capacidad de carga y se adoptan en función del apéndice E.1 de Fascicule 62 Titre V.
La condición general de capacidad de carga se puede expresar de la siguiente manera.
(de forma análoga al método de laboratorio).
Los cálculos del valor de capacidad de carga qu se realizan de acuerdo con la sección 3.22 de la norma de la siguiente manera:
.
Estos se adoptan según la norma y p le * es una tensión límite equivalente calculada a partir de la fórmula:
donde B es una dimensión de la cimentación en la dirección que se ha tenido en cuenta.
La profundidad de la cimentación se presupone que es como la profundidad mínima de la cimentación Dmin menos la profundidad d (la parte desestimada de la profundidad de cimentación).
La condición general de capacidad de carga se puede expresar de la siguiente manera:
.
Todos los valores de la fórmula anterior se adoptan de acuerdo con la fórmula basada en la sección B.3.1,1, así como en los apéndices B.1., E.2. y F.1.
Presiométrico (tensión)
La capacidad de carga del suelo para este método se adopta en función de un valor definido por el usuario. El valor qu (característico) admitido por el usuario, ELU o ELS, siempre se convierte al valor qu característico y, a continuación, en función de ese valor, el valor de tensión límite qlim se calcula según las siguientes fórmulas:
DTU 13.12
Fascicule 62 Titre 62
.
Si se selecciona la rectificación, se realiza la rectificación de un valor especificado por el usuario debido a la geometría y las cargas. Un valor especificado por el usuario se trata como la capacidad de carga qu para la cimentación con las dimensiones unitarias (A=B=1m) que se someten únicamente a cargas verticales, con la profundidad de cimentación (Dmin - d). Se tienen en cuenta las dimensiones reales de la cimentación, como la influencia de las cargas y los momentos (excentricidades) horizontales. Esto se refleja en los cálculos de los coeficientes kp, idb. El tipo de suelo es un parámetro significativo en el nivel de referencia de la cimentación. El tipo de suelo determina los coeficientes utilizados en los cálculos de la capacidad de carga y se adoptan en función del apéndice E.1 de Fascicule 62 Titre V.
El análisis de la capacidad de carga del suelo se basa en los puntos 6.5.1, 6.5.2 y el apéndice B de la norma EC 7. Se puede aumentar la rigurosidad de la condición general de capacidad de carga V d < Rd mediante la introducción de un factor de seguridad superior a 1.0 en el cuadro de diálogo Opciones geotécnicas de la ficha General.
El cálculo del valor de capacidad de carga se realiza como se indica a continuación.
Los factores adimensionales de la capacidad de carga son iguales a:
.
Los factores adimensionales de la forma son iguales a:
.
Los factores adimensionales de la inclinación de la carga derivados de la fuerza horizontal H paralela a los lados más largos y más cortos, respectivamente, son iguales a:
.
Los coeficientes de la profundidad de la cimentación son iguales a:

donde:
.
.
El factor adimensional de la forma es igual a:
sc = 1.2 + 0.2 * ( B' / L' ).
El factor adimensional de inclinación de la carga resultante de la fuerza horizontal H es igual a:
Observe que el parámetro de suelo Cohesión sin drenaje - c u se aplica aquí.
El análisis de la capacidad de carga del suelo se basa en los puntos 6.5.2.1 y 6.5.2.2, además de en el apéndice D de la norma EC 7. La condición general de capacidad de carga V d < Rd se multiplica por el coeficiente g R en función del método de cálculo. El coeficiente se puede modificar en Preferencias para el proyecto. El cálculo del valor de la capacidad de carga se realiza de la siguiente manera:
El cálculo del valor de capacidad de carga se realiza como se indica a continuación.
Los factores adimensionales de la capacidad de carga son iguales a:
.
Los factores adimensionales de la forma son iguales a:
.
Los factores adimensionales de la inclinación de la carga derivados de la fuerza horizontal H paralela a los lados más largos y más cortos, respectivamente, son iguales a:

Los coeficientes de la profundidad de la cimentación son iguales a:

donde:
.
.
El factor adimensional de la forma es igual a:
sc = 1.2 + 0.2 * ( B' / L' ).
El factor adimensional de inclinación de la carga resultante de la fuerza horizontal H es igual a:
Observe que el parámetro de suelo Cohesión sin drenaje - c u se aplica aquí.
Coeficientes parciales para EN 1997-1-1:2004 (EC 7)
En el caso de la norma EN 1997-1-1:2004, existe la posibilidad de modificar los coeficientes parciales para los conjuntos R (presión y resistencia) y M (parámetros del suelo) 2.4.7.3.4.
Los valores por defecto de los parámetros se pueden encontrar en Preferencias para el proyecto.
Los conjuntos (para las acciones o sus efectos) de coeficientes parciales están disponibles en la reglas para las combinaciones de normas geotécnicas (EC7_2004_geo.rgl).
El análisis de la capacidad de carga del suelo se basa en el punto 3.3.3, apéndice 1. Se puede ampliar la rigurosidad de la condición general de capacidad de carga
mediante la introducción de un factor de seguridad superior a 1.0 en el cuadro de diálogo Opciones geotécnicas de la ficha General.
El cálculo del valor de la capacidad de carga se realiza como se indica a continuación (Z1-2):
.
Los factores adimensionales de la capacidad de carga son iguales a:
.
Los factores adimensionales i se determinan en función de los nomogramas de la norma (fig. Z1-2).
El análisis de la capacidad de carga del suelo se basa en el punto 2.58-2. La condición general de capacidad de carga (11) es:
donde:
γ c: coeficiente de entorno.
γ n: factor de fiabilidad que tiene en cuenta el uso al que se pretende destinar una estructura.
Ambos coeficientes se modifican en el cuadro de diálogo Opciones geotécnicas mediante la fórmula que se presenta aquí:
.
Como resultado del dimensionamiento, se obtiene el factor de fiabilidad de una estructura, que es igual a:
.
El cálculo del valor de la capacidad de carga se realiza como se indica a continuación (16):
.
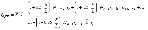
Los factores adimensionales de la capacidad de carga N se calculan de acuerdo con la tabla 7 de la norma. Se realiza la interpolación lineal entre los valores. Los factores adimensionales de la forma x se calculan como se indica a continuación (17):
.