La respuesta modal se determina mediante la fórmula siguiente:
donde:
n es el número de nudos.
e ij son los coeficientes de correlación.
R i , R j es la respuesta espectral a los modos i y j.
El programa ofrece los siguientes tipos de combinaciones cuadráticas:
Para el método SRSS, los coeficientes de correlación son iguales a:
eij = 1 para i=j,
eij = 0 para i≠j,
Por lo tanto:
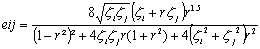
Para el método CQC, los coeficientes de correlación se calculan en función de la fórmula siguiente:
donde:
ζ i y ζ j son los coeficientes de amortiguamiento para los modos i y j (valores relativos).
r = Min (T i /T j ; T j /T i ) ≤ 1
T i y T j son los periodos de vibración para los modos i y j.
La fórmula anterior se utiliza cuando la opción Tener en cuenta el amortiguamiento está seleccionada en el cuadro de diálogo con parámetros de análisis modal. Si esta opción está desactivada, se aplica un valor de amortiguamiento a todos los modos y la fórmula anterior adopta la forma siguiente:
donde Rdir1 es el valor máximo representativo de una respuesta concreta de un elemento determinado para un componente especificado de un terremoto, definido como dir1. Rkdir1 es un valor máximo de la respuesta del elemento debido al modo en la posición k.
donde Rdir1 es el valor máximo representativo de una respuesta concreta de un elemento determinado para un componente especificado de un terremoto, definido como dir1. Rkdir1 es un valor máximo de la respuesta del elemento debido al modo en la posición k (k <-> s). N es un número de modos.

τ indica la duración de un terremoto.
ξk es un coeficiente de amortiguamiento para el modo en la posición k.
ωk es una pulsación para el modo en la posición k (k <-> s).
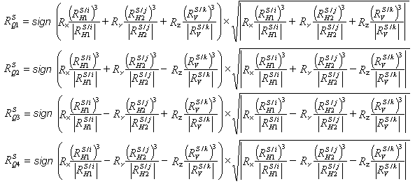
Las fórmulas que permiten evaluar una combinación cuadrática con signo RQ para las direcciones H1, H2 y V:

donde:

RH1 es la respuesta cuadrática de la cantidad calculada a partir de todas las respuestas modales de un caso sísmico o espectral para la primera dirección horizontal.
RH2 es la respuesta cuadrática de la cantidad calculada a partir de todas las respuestas modales de un caso sísmico o espectral para la segunda dirección horizontal.
RV es la respuesta cuadrática de la cantidad calculada a partir de todas las respuestas modales de un caso sísmico o espectral para la dirección vertical.
Rx, Ry y Rz son los coeficientes definidos como para una combinación cuadrática en el cuadro de diálogo Definición de la dirección.