Para la norma EC3 (ENV 1993-1-:1992), la flecha inicial se calcula a partir de la siguiente fórmula:

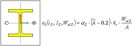
Cálculo de la flecha en el eje Z (pandeo - eje Y-Y):

Cálculo de la flecha en el eje Y (pandeo - eje Z-Z):

Donde:
A: área de sección transversal (A = SX)

a: tablas 5.5.3 y 5.5.1 del Eurocódigo 3
: esbeltez reducida, fórmula 5.5.1.2 (5.46) del Eurocódigo

Debido a la complejidad de los cálculos, se presupone lo siguiente:

Re [Pa]: límite de elasticidad de un material
l = l / i
Donde:
l = L * coeficiente de longitud de pandeo
L: longitud de la barra

tabla 5.5.1
ks se indica en la tabla 5.5.1 en dependencia de gM1; los valores especificados en esta tabla para gM1 = 1.1 siempre se utilizan en los cálculos:
Para la norma (EN 1993-1:2005) con el método tabular, se calcula la flecha inicial de acuerdo con la tabla 5.1, artículo 5.3.2 (3b).
Para la norma (EN 1993-1:2022), la flecha inicial se calcula de acuerdo con el artículo 7.3.3.1.(1).
Un valor de flecha depende de la longitud de la barra y el tipo de análisis seleccionado, elástico o plástico.