Durante el diseño de una columna de hormigón armado sometida a compresión y flexión, el programa comprueba de forma independiente las tres secciones transversales en altura de la columna: la superior, la inferior y la ubicada en la parte central (la posición exacta de esta sección transversal viene determinada por el momento central establecido por las directrices de cada norma).
En función de las recomendaciones de la norma, la posición de la sección transversal, así como el hecho de si se trata de una columna traslacional o intraslacional, determinan si los efectos de segundo orden se tienen en cuenta en una sección transversal determinada (obviamente, si la esbeltez de la columna supera el valor límite especificado por la norma).
El procedimiento más habitual para la mayoría de normas de hormigón armado es el siguiente:
La excepción incluye, por ejemplo, la norma BS del Reino Unido según la cual la influencia de la esbeltez se tiene en cuenta también en los extremos de una columna con nudos intraslacionales. Sin embargo, las normas ACI y CSA permiten aumentar la influencia de la esbeltez de la sección transversal central en una estructura con nudos traslacionales.
Se realizan cálculos de armadura de estas tres secciones transversales. La armadura se calcula en el proceso iterativo. Se incrementa una serie de iteraciones hasta que el programa adopta la armadura, lo que garantiza que la condición de capacidad se cumpla en las tres secciones transversales de la columna en cada una de las combinaciones.
Una combinación de diseño se entiende como un par compuesto por un conjunto de combinaciones de carga y la posición de la sección transversal para la que se alcanza la mayor proporción.
Los tres conjuntos de fuerzas (es decir, una fuerza axial, los momentos y, si es necesario, los esfuerzos laterales) de cada combinación de la tabla de definición de carga se corresponden con las tres secciones transversales que se someten al proceso de diseño.
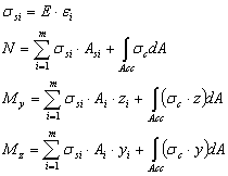
El cálculo de la capacidad de la columna para la flexión biaxial se realiza de acuerdo con el procedimiento siguiente:


donde: Acc es el área de la pieza de compresión (según el diagrama de la distribución s) y E indica el módulo de Young.
El dibujo ilustra el diagrama rectangular de tensiones. Con algunas normas, el diagrama es rectangular parabólico.
La excepción incluye el método especificado por norma disponible para el código polaco PN-B-03264 (2002).
El aumento de la armadura hasta alcanzar la capacidad requerida (algoritmo de optimización) se realiza de acuerdo con el siguiente procedimiento: