Cálculo de fisuración para la norma italiana MINISTERO DEI LAVORI PUBBLICI DECRETO 14 GENNAIO 2008:
Los requisitos detallados según el punto B.6.6.3 son los siguientes:
.
donde:
c: recubrimiento de la armadura.
s: separación entre barras ≤ 14φ.
k 2 : coeficiente:
k 2 = 0.4 para barras nervuradas.
k 2 = 0.8 para barras normales.
k 3 : coeficiente:
k 3 = 0.125 para la flexión y la flexión con compresión.
k 3 = 0.250 para tracción simple.
k 3 = 0.25 * (σ1 + σ2) / 2 σ1 para tracción simple.
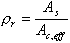
A c,eff = b eff * h eff
Para secciones totalmente en tracción b eff ≤ 40 cm y h eff ≤ 40 cm.
Para losas en flexión h eff ≤ (h * x) / 2, donde x es la altura de la zona comprimida.
c: recubrimiento de la armadura ≤ 7.5φ
s: separación entre barras
if s < 14φ:
b eff = B: anchura de sección.
h eff = c + 7.5φ.
if s > 14φ: cálculos individuales para cada barra.
beff = (14 + 1)φ: para losas y barras internas de vigas.
beff = c + 7.5φ: para barras de esquina.
heff = c + 7.5φ.
Ac,eff = Σ (b eff * h eff ).

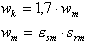
σ s : tensión en la armadura en tracción para la sección a través de una fisura.
σ sr : tensión en la armadura en tracción para la que las fibras de hormigón más externas alcanzan el nivel de tensión igual a f ctm . Estos cálculos no tienen en cuenta el acero de refuerzo en las propiedades de sección.
β 1 : coeficiente:
β 1 = 1.0 para barras nervuradas.
β 1 = 0.5 para barras normales.
β 2 : coeficiente:
β 2 = 1.0 para una única carga de corta duración.
β2 = 0.5 para cargas de larga duración o cargas repetidas muchas veces.