Calculs des axes d’articulation en unités anglo-saxonnes

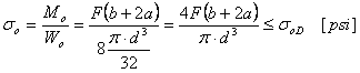
Contrainte de pliage

Pression dans la tige

Pression dans la chape

Contrainte de cisaillement
Contrainte de cisaillement

où :
| | F | force [lb] |
| | σ 0 | contrainte de pliage [psia] |
| | σ 0D | contrainte de pliage admissible [psi] |
| | M 0 | moment de flexion [lb ft] |
| | W 0 | module de coupe de flexion [po3] |
| | τ | contrainte de cisaillement [psi] |
| | τ D | contrainte de cisaillement admissible [psi] |
| | d | diamètre de la broche [po] |
| | p 1 | pression dans la tige [MPa] |
| | p 2 | pression dans la chape [psi] |
| | p 1D | pression admissible dans la tige [psi] |
| | p 2D | pression admissible dans la chape [psi] |
| | b | largeur de la tige [po] |
| | a | largeur du bras de chape [po] |