Calcul des proportions de force de courroie synchrone
| 
| Pour chaque poulie |
F 2 - F 1 + F p = 0 |
| 
|
| 
|
| 
|
Pour la poulie d’entraînement

| 
| v ≤ v max |
| 
| f b ≤ f max |

F c = mv 2
F Tmax = k 1 F p + F c
F 1 = F tmax
F 2 = F 1 - F p
Pour chaque poulie entraînée et tendeur
index i de la poulie
F Pi = P xi F p



F 1i = F 2i-1
F 2i = F 1i + F p i
où :
pour poulie synchrone
pour poulie plate
Pour la transmission par courroie entière

La tension d’installation de courroie requise est établie à partir des forces au niveau de la poulie d’entraînement, de la manière suivante :

Exemple de transmission de puissance avec tendeur

Courroie d’entraînement | Tendeur | Courroie entraînée |
P x1 = 1 | P x2 = 0 | P x3 = 1 |
| 
| 
| F P3 = P x3 F p |
| 
| 
| 
|
| 
| 
| 
|
| 
| F 12 = F 21 | 
|
| 
| F 22 = F 12 + F p2 = F 12 | 
|
F c = m v 2 | 
| 
|
F Tmax = k 1 F p + F C | - | F 13 = F 22 |
F 11 = F Tmax | - | F 23 = F 13 + F p3 = F 11 |
F 21 = F 11 - F p | - | 
|
| 
| - | - |
Signification des variables utilisées :
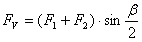
F p | Amplitude de tension [N] |
F 1 | Tension de la courroie sur le côté d'entrée de la poulie considérée [N] |
F 2 | Tension de la courroie sur le côté de sortie de la poulie considérée [N] |
z | Nombre de dents de la poulie considérée / Nombre de dents de la courroie [-] |
| β | Arc de contact / angle d'inclinaison de la dent [degré] |
P | puissance de transmission [W] |
P R | Puissance nominale de la courroie pour la disposition de transmission considérée [W] |
c L | Facteur de service [-] |
| β | Arc de contact [deg] |
T | Couple agissant sur la poulie considérée [Nm] |
n | Vitesse de la poulie considérée [tr/min] |
D p | Diamètre primitif de la poulie [m] |
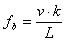
v | Vitesse de la courroie [m/s] |
k | Nombre de poulies au sein de la transmission par courroie [-] |
L | Longueur de pas de la courroie [m] |
P | puissance de transmission [W] |
m | Poids spécifique de la courroie pour la largeur considérée [kg/m] |
k 1 | Facteur de tension de la courroie [-] |
F p | Amplitude de tension [N] |
F c | Force centrifuge [N] |
F t | Tension d'installation minimale de la courroie [N] |
P xi | Rapport de puissance de la poulie considérée [-] |
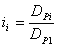
D pi | Diamètre primitif de la poulie [m] |
i | Rapport de transmission (rapport de vitesse) de la poulie considérée [-] |
T i | Couple agissant sur la poulie considérée [Nm] |
| η | Rendement [-] |
p b | Pas circulaire [m] |
D | Diamètre nominal de la poulie plate [m] |
H | Hauteur de la courroie [m] |
h T | Hauteur de dent de la courroie [m] |
a | Décalage de ligne de pas [m] |
Remarque : i = index de la poulie.
Principes de base du calcul