Calcul des proportions de force de courroie trapézoïdale

Équations génériques utilisées

 

 

Où m correspond à une masse spécifique de courroie définie ainsi : m = S ρ

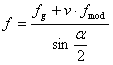
Facteur de frottement modificateur de la poulie considérée

 

 

 

f = f g + v f mod

Équations fondamentales de poulie d’entraînement et de courroie

puissance de transmission

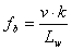
Vitesse de courroie

Fréquence de flexion de la courroie

Amplitude de tension

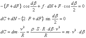
Force centrifuge

Fc = z m v 2

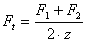
Tensions dans la course de courroie

A l'aide des équations ci-après, l'application commence par identifier la poulie la plus suspecte, celle qui requiert la tension d'installation maximale afin de transmettre une charge. La tension de la course de courroie est ajustée pour chaque poulie en fonction de la tension d'installation initiale.

 

 

F 1i - F p P xi - F 2i = 0

 

 

Le critère d'identification de la poulie la plus suspecte correspond à la tension maximale du brin tendu

F 1max = max (F 1i)

La tension totale maximale de chaque course de courroie (par courroie) lorsque la transmission est en pleine charge se détermine ainsi :

Où expression « k 1 F 1max  » correspond à la tension maximale réelle sur la portée de la courroie considérée pour toutes les courroies de la transmission. Ainsi, toutes les tensions correspondantes dans les portées individuelles sont recalculées pour respecter la condition suivante :

F 1i - F P P xi - F 2i = 0

La charge par essieu résultante pour chaque poulie lorsque la transmission est en pleine charge est :

Remarque : pour les poulies entraînées et les tendeurs, F 1 et F 2 sont inversés au sein du générateur, de sorte que F 1 représente la tension dans la course de courroie d’entrée et que F 2 représente la tension dans la course de courroie de sortie, en matière de sens de la courroie.

Tension d’installation initiale et force de tension statique de la courroie

La tension d'installation initiale (par courroie) peut être ajustée à l'aide du facteur de tension, puis établie de la manière suivante :

Une force de tension statique F v est déterminée pour chaque poulie. L'application calcule la force de tension qui se présente le long du trait d'axe de la course de courroie de la manière suivante :

 

 

Signification des variables utilisées :

FForce tangentielle [N]
  βArc de contact [deg]
  αInclinaison du bord [degrés]
CForce centrifuge [N]
NForce normale [N]
mMasse spécifique de la courroie [kg/m]
vVitesse de la courroie [m/s]
RRayon de la poulie [m]
SSurface de section de la courroie [m 2 ]
TCouple agissant sur la poulie considérée [Nm]
D pDiamètre primitif de la poulie [m]
kNombre de poulies [-]
Ppuissance de transmission [N]
vVitesse de la courroie [m/s]
F cForce centrifuge [N]
F 1Tension de course de courroie en entrée pour la poulie considérée [-]
F 2Tension de course de courroie en sortie pour la poulie considérée [-]
fFacteur de frottement modifié de la poulie considéré [-]
P xRapport de puissance de la poulie considérée [-]
f gFacteur de frottement de la matière de poulie et de la courroie considérées [-]

f mod

Facteur de vitesse de la modification de la friction [s/m]
ZNombre de courroies [-]
  ρDensité de la courroie [kg/m3]
F tTension d'installation initiale de la courroie [N]
F vForce de tension statique de la poulie considérée [N]
k 1Facteur de tension de la courroie [-]
Remarque : i = index de la poulie.