Vérification de la force de la chaîne à rouleaux

Le générateur de chaînes à rouleaux applique la théorie suivante pour prévenir les utilisateurs si la chaîne sélectionnée fonctionne dans les conditions spécifiées.

Le facteur statique de sécurité avant rupture de la chaîne est déterminé pour une charge constante de la façon suivante :

où :

 

S Smin

Facteur de sécurité statique minimum admissible [-]

 

F U

Résistance à la traction de la chaîne [N]

 

F Tmax

Tension maximale dans la travée de chaîne [N]

Le facteur dynamique de sécurité avant rupture de la chaîne est déterminé pour une charge maximale de la façon suivante :

où :

 

S Dmin

Facteur de sécurité dynamique minimum admissible [-]

 

F U

Résistance à la traction de la chaîne [N]

 

F Tmax

Tension maximale dans la travée de chaîne [N]

 

Y

Facteur de choc [-]

Puissance théorique et puissance nominale de la chaîne

La puissance nominale de la chaîne P R s’établit à l’aide de la puissance théorique P D. Elle doit être supérieure à la puissance théorique.

P D < P R

où :

  

  

 

P

puissance de transmission [W]

 

P RN

Puissance nominale d'une chaîne à brin unique dans des conditions normales d'utilisation [W]

 

f 1

Facteur de service [-]

 

f 2

Facteur de taille de pignon [-]

 

f 3

Facteur de brins [-]

 

f 4

Facteur de lubrification [-]

 

f 5

Facteur de distance au centre [-]

 

f 6

Facteur de rapport [-]

 

f 7

Facteur de durée de vie [-]

   Φ

Facteur de construction de chaîne [-]

La puissance nominale de la chaîne est calculée à partir d'équations empiriques spécifiques à la chaîne. Ces équations sont exposées dans le cadre des normes nationales s'appliquant aux chaînes en acier ou proviennent de l'organisme de recherche ACA (American Chain Association). Elles peuvent donner des résultats différents de ceux annoncés par les fabricants des chaînes.

En règle générale, les équations permettant d'évaluer la puissance nominale de la chaîne sont valides dans des conditions normales (spécifiées) d'utilisation des entraînements par chaîne. Si les conditions de fonctionnement de votre entraînement par chaîne ne sont pas équivalentes aux conditions normales d'utilisation, le générateur ajuste automatiquement les facteurs de puissance nominale en conséquence.

Pour en savoir plus sur les facteurs de puissance nominale, reportez-vous à la rubrique Principes de base du calcul. Ces facteurs sont calculés en tenant compte des pratiques usuelles et des conditions normales d'utilisation.

La capacité de puissance des entraînements par chaîne utilisés dans des conditions normales est limitée par les éléments suivants :

Exemples d'équations permettant d'évaluer la puissance nominale de la chaîne

P RN = min (P R1 ; P R2 ; P R3)

où :

 

P R1

Capacité de puissance de l'entraînement par chaîne limitée par la fatigue de la plaque [hp]

 

P R2

Capacité de puissance de l'entraînement par chaîne limitée par la fatigue liée à l'impact entre rouleaux et douilles [hp]

 

P R3

Capacité de puissance de l'entraînement par chaîne limitée par le grippage des broches et des douilles [hp]

 

z S

Nombre de dents du petit pignon [-]

 

n S

Vitesse du petit pignon [tr/min]

 

p

Pas de chaîne [en pouces]

Remarque : les options de la section Autres du panneau Calcul permettent au générateur de la chaîne d’accepter un facteur de lubrification de négligence pour des capacités limitées par la fatigue de la plaque P R1 et par la fatigue des rouleaux et douilles P R2. Seule la capacité de puissance de la chaîne limitée par le grippage des broches et des douilles P R3 est alors affectée par le facteur de lubrification f 4. La puissance théorique et la capacité de puissance de la chaîne sont déterminées de la façon suivante :

P D = P f 1 f 2 f 5 f 6 f 7

P RN = min (P R1 ; P R2 ; P R3)

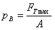
Contrainte dans le palier

Pendant la durée de vie de l'entraînement par chaîne, la contrainte de tension fluctuante agit sur les surfaces de contact entre les broches et les douilles, ce qui entraîne une pression particulière dans le palier. Si cette pression dépasse la pression admissible dans le palier de la chaîne, la durée de vie de la chaîne risque d'être considérablement réduite et la vérification de la force échouera. Voici l'équation qui est évaluée pour s'assurer que le test de vérification de la force donne des résultats satisfaisants :

Le niveau de pression réelle dans le palier de la chaîne est calculé d'après la tension maximale dans la travée de chaîne de la façon suivante :

La pression admissible dans le palier de la chaîne est déterminée de la manière suivante :

p 0 = p B0 . ϕ

où :

 

p B

Pression réelle dans le palier de la chaîne [Pa]

 

p B0

Pression admissible spécifique dans le palier de la chaîne dans des conditions normales de fonctionnement[Pa]

 

p 0

Pression admissible dans le palier de la chaîne dans des conditions normales de fonctionnement [Pa]

 

F Tmax

Tension maximale dans la travée de chaîne [N]

 

A

Palier [m 2]

   ϕ

Facteur de construction de chaîne [-]

   λ

Facteur de frottement spécifique [-]

Analyse de la durée de vie attendue

Le programme vérifie la durée de vie attendue pour les conditions suivantes :

Le programme considère que le test de vérification de la force réussit si la durée de vie requise est inférieure ou égale à la durée de vie attendue.

Durée de vie attendue pour une élongation de chaîne donnée

La chaîne s'allonge pendant sa durée de vie au fur et à mesure qu'elle s'use. La durée de vie attendue lorsque l'élongation de la chaîne atteint 3% est déterminée à partir de l'équation empirique suivante :

où :

 

t h3%

Durée de vie attendue pour une élongation de la chaîne de 3% [hr]

 

f C

Facteur d'usure [-]

 

f m

Facteur de taille de chaîne spécifique [-]

 

f k

Facteur de vitesse de chaîne [-]

 

X

Nombre de maillons de chaîne [-]

 

v

Vitesse de la chaîne [m/s]

 

z 1

Nombre de dents du grand pignon [-]

 

z 2

Nombre de dents du grand pignon [-]

 

p

Pas de chaîne [m]

 

d 2

Diamètre de broche [m]

 

p B

Pression dans le palier [N/cm 2]

Un entraînement par chaîne à trois pignons ou plus est remplacé par un entraînement par chaîne virtuel composé de deux pignons seulement. La durée de vie qui en résulte est déterminée de la façon suivante. La pression dans le palier est alors spécifique à la travée de chaîne dans chaque entraînement par chaîne virtuel.

où :

 

t h3%

Durée de vie attendue de l'entraînement par chaîne pour une élongation de la chaîne de 3% [hr]

 

t h1 ... t hn

Durée de vie attendue de l'entraînement par chaîne virtuel pour une élongation de la chaîne de 3% [hr]

La durée de vie attendue pour une élongation spécifique différente de 3% est déterminée de la façon suivante :

où :

 

t h3%

Durée de vie attendue de l'entraînement par chaîne pour une élongation de la chaîne de 3% [hr]

 

t h

Durée de vie attendue de l'entraînement par chaîne pour une élongation de chaîne donnée [hr]

 

ΔL max

Elongation maximale de la chaîne [-]

Facteur d’usure f C

Le facteur d'usure prend en compte la qualité de la lubrification et l'ampleur de son impact sur le taux d'usure de la chaîne. L’ampleur du facteur d’usure est déterminée à partir du tableau suivant, en fonction du facteur de lubrification f 4 et de la contrainte dans le palier p B.

Facteur de taille de chaîne spécifique f m

Le facteur de taille de chaîne prend en compte la taille de la chaîne et son impact sur le taux d'usure. La taille du facteur se détermine d'après le tableau suivant.

Pas [mm]

4

5

6

6.35

8

9.525

12.7

15.875

19.05

25.4

31.75

38.1

44.45

50.8

63.5

76.2

f m [-]

1.64

1.57

1.54

1.53

1.49

1.48

1.44

1.39

1.34

1.27

1.23

1.19

1.15

1.11

1.03

0.96

Facteur de vitesse de la chaîne f k

Le facteur de vitesse de chaîne prend en compte la vitesse de la chaîne v [m/s] pour un nombre de dents spécifique du plus petit pignon z s [-]. Si le plus petit pignon de l'entraînement compte 19 dents au moins, le facteur de vitesse équivaut toujours à un. S'il est inférieur à ce nombre, le facteur de vitesse est déterminé grâce au tableau suivant.

Durée de vie attendue en raison de la fatigue de la plaque

La durée de vie attendue sans que la fatigue de la plaque ne soit à l'origine d'un problème est déterminée à partir de l'équation empirique suivante :

où :

 

t hL

Durée de vie attendue en raison de la fatigue de la plaque [hr]

 

X

Nombre de maillons de chaîne [-]

 

n S

Vitesse du plus petit pignon [tr/min]

 

f Z

Facteur de dent [-]

 

f Y

Facteur de taille de chaîne spécifique [-]

 

f 1

Facteur de service [-]

 

F U

Résistance à la traction de la chaîne [N]

 

F P

Tension effective de la chaîne ou résistance à la rupture [N]

Facteur de dent f Z

Le facteur de dent prend en compte le changement dans la durée de vie lié à la taille du plus petit pignon dans l'entraînement par chaîne. La taille de ce facteur est définie par le tableau suivant.

Facteur de taille de chaîne spécifique f Y

Le facteur prend en compte la taille de la chaîne par rapport à des surcharges maximales. La taille de ce facteur est définie par le tableau suivant.

Durée de vie attendue en raison de la fatigue liée à l’impact entre rouleaux et douilles

La durée de vie attendue sans que la fatigue liée à l'impact entre rouleaux et douilles ne soit à l'origine d'un problème est déterminée à partir de l'équation empirique suivante :

où :

 

t hR

Durée de vie attendue en raison de la fatigue liée à l'impact entre rouleaux et douilles [hr]

 

X

Nombre de maillons de chaîne [-]

 

z S

Nombre de dents du plus petit pignon [-]

 

n S

Vitesse du plus petit pignon [tr/min]

 

f 1

Facteur de service [-]

 

f 3

Facteur de brins [-]

 

P

Puissance [W]

 

d 1

Diamètre de rouleau [m]

 

d 2

Diamètre de broche [m]

 

p

Pas de chaîne [m]