Formules de calcul de liaison de clavette en unités métriques

Couple transféré

où :
| | P | puissance [kW] |
| | n | vitesse [rpm] |
Calcul du diamètre minimal de l’arbre
1. diamètre interne de l’arbre d h > 0
a) 
b) si d min ≤d h -> d min = 1.1 d h [mm]
c) si d min ≤ 1.5 d h -> d min = 1.5 d h [mm]
2. diamètre interne de l’arbre d h = 0

où :
| | d min | diamètre minimal de l’arbre [mm] |
| | d h | diamètre interne de l’arbre [mm] |
| | T | couple [Nm] |
| | K a | facteur d’application |
| | K f | facteur de résistance à la fatigue |
| | S v | sécurité souhaitée |
| | τ A | Contrainte de cisaillement admissible |
Calcul général
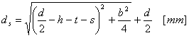
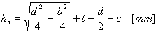
| | plage d’activités de force agissant sur l’arbre |
h k = h - h s - 2 s [mm] | plage d’activités de force agissant sur le moyeu |
| | diamètre d’arbre de la plage d’activités de force |
| | diamètre de moyeu de la plage d’activités de force |
| | force agissant sur l’arbre |
| | force agissant sur le moyeu |
où : | |
| | T | couple [Nm] |
| | F s | force agissant sur l’arbre [N] |
| | F h | force agissant sur le moyeu [N] |
| | K a | facteur d’application |
| | K f | facteur de résistance à l’usure |
| | K w | facteur d’application |
| | K m | facteur de répartition de la charge |
| | S v | sécurité souhaitée |
| | d | diamètre de l’arbre [mm] |
| | d s | diamètre de l’arbre avec force F s en action [mm] |
| | d h | diamètre de l’arbre avec force F d en action [mm] |
| | N | nombre de rainures [-] |
| | h | hauteur de la rainure |
| | h s | hauteur du point d’action de force sur l’arbre [mm] |
| | h h | hauteur du point d’action de force sur le moyeu [mm] |
| | b | largeur de rainure |
| | t | profondeur de la rainure dans l’arbre [mm] |
| | s | chanfrein |
| | p Dmins | pression minimale admissible (rainure, arbre) [MPa] |
| | p Dminh | pression minimale admissible (rainure, moyeu) [MPa] |
Longueur minimale de clavette nécessaire au transfert du couple
1. Assemblage fixe : | a) |
| | b) |
| | L min = min(L mins , L minh ) |
2. Assemblage souple : | a) |
| | b) |
| | L min = min(L mins , L minh ) |
où : | |
| | F s | force agissant sur l’arbre [N] |
| | F h | force agissant sur le moyeu [N] |
| | K a | facteur d’application |
| | K f | facteur de résistance à l’usure |
| | K w | facteur d’application |
| | K m | facteur de répartition de la charge |
| | S v | sécurité souhaitée |
| | d | diamètre de l’arbre [mm] |
| | N | nombre de rainures [-] |
| | h s | hauteur du point d’action de force sur l’arbre [mm] |
| | h h | hauteur du point d’action de force sur le moyeu [mm] |
| | p Dmins | pression minimale admissible (rainure, arbre) [MPa] |
| | p Dminh | pression minimale admissible (rainure, moyeu) [MPa] |
Pression minimale admissible
1. Assemblage fixe : | a) |
| | b) |
2. Assemblage souple : | a) |
| | b) |
où : | |
| | F s | force agissant sur l’arbre [N] |
| | F h | force agissant sur le moyeu [N] |
| | K a | facteur d’application |
| | K f | facteur de résistance à l’usure |
| | K w | facteur d’application |
| | K m | facteur de répartition de la charge |
| | S v | sécurité souhaitée |
| | d | diamètre interne de la section de rainure [mm] |
| | N | nombre de rainures [-] |
| | h s | hauteur du point d’action de force sur l’arbre [mm] |
| | h h | hauteur du point d’action de force sur le moyeu [mm] |
| | l f | longueur de clavette active [mm] |
Vérification de la force
p mins ≤ p Ds
p minh ≤ p Dh
où :
| | p mins | pression de cisaillement minimale calculée dans l’arbre [MPa] |
| | p minh | pression de cisaillement minimale calculée dans le moyeu [MPa] |
| | p Ds | pression admissible dans l’arbre [MPa] |
| | p Dh | pression admissible dans le moyeu [MPa] |
Calcul simplifié
Longueur minimale de clavette nécessaire au transfert du couple
1. Assemblage fixe : | |
2. Assemblage souple : | |
où : | |
| | T | couple [Nm] |
| | K a | facteur d’application |
| | K f | facteur de résistance à l’usure |
| | K w | facteur d’application |
| | K m | facteur de répartition de la charge |
| | S v | sécurité souhaitée |
| | d | diamètre de l’arbre [mm] |
| | N | nombre de rainures [-] |
| | h | hauteur de la rainure |
| | s | chanfrein |
| | h st | hauteur de l’assemblage h st = h - 2 s [mm] |
| | p Dmin | pression admissible sur une surface de support d’arbre, de rainure ou de moyeu [MPa] |
Pression admissible
1. Assemblage fixe : | |
2. Assemblage souple : | |
où : | |
| | T | couple [Nm] |
| | K a | facteur d’application |
| | K f | facteur de résistance à l’usure |
| | K w | facteur d’application |
| | K m | facteur de répartition de la charge |
| | S v | sécurité souhaitée |
| | d | diamètre de l’arbre [mm] |
| | N | nombre de rainures [-] |
| | h | hauteur de la rainure |
| | s | chanfrein |
| | h st | hauteur de l’assemblage h st = h - 2 s [mm] |
| | l f | longueur de clavette active [mm] |
Vérification de la force
p min ≤ p Ds
p min ≤ p Dh
où :
| | p min | pression h/2 minimale calculée [MPa] |
| | p Ds | pression admissible dans l’arbre [MPa] |
| | p Dh | pression admissible dans le moyeu [MPa] |