Vérification de la force de la courroie trapézoïdale

Pour déterminer le nombre de courroies requis ou effectuer une simple vérification de la force de la transmission, l'application compare la puissance nominale de la courroie à la puissance à transmettre. Pour obtenir la puissance nominale de la courroie, le programme prend la puissance nominale de la courroie de base et la corrige à l'aide des facteurs spécifiques déterminés à partir de la disposition de la transmission considérée.

Puissance nominale de courroie de base P BR

La puissance nominale de la courroie de base est établie à partir d'une formule définie dans le tableau de données XML, lui-même stocké au sein de l'arborescence de dossier Design Data. Chaque courroie fournie dans le générateur du composant Courroie trapézoïdale est définie par un fichier XML spécifique, qui contient toutes les tailles de courroie disponibles ainsi que les propriétés mécaniques. La formule de puissance de base et les facteurs qu'elle utilise proviennent des recommandations normalisées, qui peuvent différer des données fournies par le fabricant. Vous avez la possibilité de personnaliser la puissance nominale de la courroie de base et de fournir des données réelles issues des catalogues de fabricants. Généralement, la puissance nominale recommandée par la norme s'avère plus stricte, afin de permettre une certaine interchangeabilité des courroies entre fabricants. Cela peut cependant entraîner une surconception de la transmission par courroie.

La puissance nominale de la courroie de base est, en général, fonction de la vitesse, du diamètre primitif et du rapport de vitesse de la plus petite poulie (d'entraînement ou entraînée).

P RB = F(n j , D Pj , i j)

Remarque : l’index j représente l’index de la plus petite courroie d’entraînement ou entraînée au sein de la transmission.

Puissance nominale de courroie P R

P R = P RB c 1 c 3 c 4 c 5

Facteur de service résultant

La vérification de la force échoue si le facteur de service résultant C PR < C p.

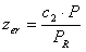
Nombre de courroies requis

Contrôle de la surtension

La tension maximale admissible dans la courroie est déterminée ainsi :

La vérification de la force échoue si F max < F t max ou F max < F t.

Contrôle de la vitesse de courroie et de la fréquence de flexion

Si la fréquence de flexion de la courroie f b > f max, la courroie risque de s’endommager et de voir son rendement diminuer. Un message d'erreur s'affiche.

Si la vitesse de la courroie v > v max, un message d’erreur indique que la courroie n’est pas conçue pour cette vitesse.

Signification des variables utilisées :

f max

Fréquence maximale de flexion de la courroie [Hz]

f b

Fréquence de flexion de la courroie pour une transmission de courroie donnée [Hz]

n

Vitesse de la poulie considérée [rpm]

D P

Diamètre nominal et externe de la poulie plate [m]

i

Rapport de transmission (rapport de vitesse) de la poulie considérée [-]

c 1

Facteur de correction de l'arc de contact [-]

c 2

Facteur de service [-]

c 3

Facteur de correction de la longueur de courroie [-]

c 4

Facteur de correction du nombre de courroies [-]

c 5

Facteur de correction du nombre de poulies [-]

z

Nombre de courroies [-]

P R

Puissance nominale de la courroie pour la disposition de transmission considérée [W]

P

puissance de transmission [W]

v

Vitesse de la courroie [m/s]

v max

Vitesse de la courroie maximale admissible [m/s]

Remarque : l’index j représente l’index de la plus petite courroie d’entraînement ou entraînée au sein de la transmission.

Calcul géométrique de base