Formules de moyeu en deux parties pour le calcul en unités anglo-saxonnes

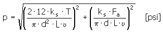
Pression de contact

Longueur minimale du moyeu

Valeurs recommandées : L = (0.6 - 3) d
Force véhiculée par une vis

Vérification de la force
p ≤ p A
où :
| | F a | force axiale [lb] |
| | T | couple [lb ft] |
| | d | diamètre de l’arbre [po] |
| | p | pression de contact dans une liaison [psi] |
| | p A | pression admissible [psi] |
| | L | longueur du moyeu [po] |
| | υ | facteur de serrage υ = 0.008 to 0.1 [-] |
| | k s | sécurité en cas de patinage [-] |
| | F | force véhiculée par une vis [lb] |
| | F s | force véhiculée par toutes les vis [lb] |
| | i | nombre total de vis [-] |