La simulation du vent ne génère pas des résultats totalement stables car il s'agit d'un processus dynamique qui change au fil du temps.
Pour résoudre ce problème, le programme mesure la convergence des efforts totaux résultants sur une période spécifique.
.
.
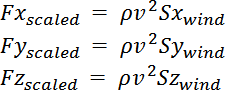
. Les efforts résultants dépendent de la taille du modèle. Pour mettre correctement à l'échelle les efforts résultants, le programme utilise la pression dynamique
et les valeurs de surface
,
et
.
Les valeurs de surface sont utilisées pour mettre à l'échelle les efforts correspondants.
Cette approche permet de neutraliser les disproportions du modèle dans les directions du vent x, y et z.
représente la pression dynamique en pascals.
représente la densité du fluide en kg/m3.
représente la vitesse du fluide en m/s.
correspond à la zone couverte par la projection de tous les triangles du modèle sur le plan perpendiculaire à la direction X du vent.
correspond à la zone couverte par la projection de tous les triangles du modèle sur le plan perpendiculaire à la direction Y du vent.
correspond à la zone couverte par la projection de tous les triangles du modèle sur le plan perpendiculaire à la direction Z du vent. Les efforts de mise à l'échelle sont calculés de la façon suivante :

Pour mesurer la convergence des efforts totaux sur une période de temps donnée, les efforts résultants
,
et
sont calculés et stockés pour un certain nombre d'étapes n, puis la modification maximale à un moment donné est calculée comme suit :

Où
,
et
représentent les valeurs stockées de
,
et
à une étape donnée et pour i=1 jusqu'à n.
Ces modifications des efforts maximaux sont alors respectivement mises à l'échelle par
,
et
et affichées sous forme de pourcentage.
La métrique finale est le maximum de ces trois valeurs mises à l'échelle :

Où
= 0,5 %, c'est-à-dire le facteur d'écart de charge par défaut.
n représente le nombre d'étapes de simulation pour lesquels
,
et
sont stockées par comparaison avec l'étape actuelle. La valeur par défaut de n est de 10.