Pour la norme EC3 (ENV 1993-1-:1992), la flèche initiale est calculée d’après la formule suivante :

Calcul de la flèche suivant l’axe Z (flambement par rapport à l’axe Y-Y) :

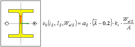
Calcul de la flèche suivant l’axe Y (flambement par rapport à l’axe Z-Z) :

Où :
A : aire de section transversale (A = SX)

a : Eurocode 3, tableaux 5.5.3 et 5.5.1
: élancement réduit, Eurocode 5.5.1.2 formule (5.46)

Étant donné la complexité des calculs, on a admis que :

Re [Pa] : imite d’élasticité du matériau
l = l / i
Où :
l = L * coefficient de longueur de flambement
L : longueur de la barre

tableau 5.5.1
ks est indiqué dans la table 5.5.1 dépendant de gM1 ; les valeurs indiquées dans ce tableau pour gM1 = 1.1 sont toujours utilisées dans les calculs:
Pour la norme (EN 1993-1:2005) : méthode par tableau, la contreflèche est calculée conformément au tableau 5.1, article 5.3.2 (3b).
Pour la norme (EN 1993-1:2022) : la flèche initiale est calculée conformément à l’article 7.3.3.1.(1).
La valeur de la flèche dépend de la longueur de la barre et du type d’analyse sélectionné : élastique ou plastique.