Calcul de la fissuration pour la norme italienne MINISTERO DEI LAVORI PUBBLICI DECRETO 14 GENNAIO 2008 :
Conditions détaillées basées sur le point B.6.6.3 :
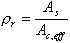
.
où :
c - enrobage des armatures
s - espacement des barres ≤ 14φ.
k 2 - Coefficient :
k 2 = 0.4 pour les barres nervurées.
k 2 = 0.8 pour les barres lisses.
k 3 - Coefficient :
k 3 = 0.125 pour la flexion et la flexion avec compression.
k 3 = 0.250 pour la traction pure.
k 3 = 0.25 * (σ1 + σ2) / 2 σ1 pour la traction pure.
A c,eff = b eff * h eff
Pour les coupes entièrement dans la traction b eff ≤ 40 cm et h eff ≤ 40 cm.
Pour les plaques en flexion h eff ≤ (h * x) / 2, où x est la hauteur de la zone comprimée
c - enrobage d’armatures ≤ 7.5φ
s - espacement des barres
si s < 14φ :
b eff = B - largeur de coupe.
h eff = c + 7.5φ.
si s > 14φ : calcul pour chaque barre.
beff = (14 + 1)φ - pour les dalles et barres internes des poutres
beff = c + 7.5φ - pour les barres du chaînage.
heff = c + 7.5φ.
Ac,eff = Σ (b eff * h eff ).

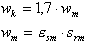
σ s - contrainte dans les armatures en traction pour la section à travers la fissure.
σ sr - contrainte dans les armatures en traction pour lesquelles les fibres extrêmes du béton atteignent les contraintes égales à f ctm . Dans ces calculs, les propriétés de la section ne prennent pas en compte de l’acier d’armature.
β 1 - Coefficient :
β 1 = 1.0 pour les barres nervurées.
β 1 = 0.5 pour les barres lisses.
β 2 - Coefficient :
β 2 = 1.0 pour la charge unitaire de courte durée.
β2 = 0.5 pour les charges répétitives de longue durée.