Analysis Characteristics
Reference
Davis, G. De Vahl and Jones, I.P., “Natural convection in a square cavity: a comparison exercise”, Inter. Jour. for Num. Meth. in Fluids, 3, (1983).
Problem Description
Temperature and velocity distributions are calculated for laminar, buoyancy-driven flow in a square cavity. The top and bottom walls are insulated, and the left and right walls are at fixed temperatures differing by 1 K.
The Rayleigh number is computed from:

is the coefficient of volumetric expansion, defined as: 
g is the acceleration of gravity
is the density
is the specific heat
L is the length of the cavity
and
are the temperatures of the left and right walls, respectively
k is the conductivity of the fluid
is the viscosity.
Here, the Rayleigh number is 10,000.
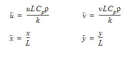
This problem is analyzed to verify the fluid flow and heat transfer modeling capabilities of Autodesk® CFD. Accuracy is assessed by comparing velocity components at specific locations in the cavity. Velocities and coordinates are normalized in accordance with Davies, et al. (1983) as follows:

Geometry and Boundary Conditions

Results
Using the expressions defined above for
,
,
and
, the following results are computed:
| Benchmark | 2018: Build 20170308 | % Error | 2019: Build 20180130 | % Error | |
![]() | 16.178 | 16.191 | 0.079 | 16.185 | 0.04399 |
![]() | 0.823 | .825 | .243 | .825 | .243 |
![]() | 19.617 | 19.666 | .251 | 19.651 | .175 |
![]() | 0.119 | .120 | .840 | .120 | .840 |