Többszörös mutatók a címkékhez és a megjegyzésekhez

A címkék és a megjegyzések a leggyakoribb feliratozások közé tartoznak. Ezek a tartalmuktól és szimbólumaiktól függően többféle típusú információt és azonosítóadatot közvetítenek. Az AutoCAD programban a legfejlettebb eszköz az objektumok létrehozására a többszörös mutató eszköz, azaz a TMUTATÓ. Íme néhány példa a többszörös mutatókra, amelyeket könnyedén létrehozhat.

A többszörös mutatók használatának elsődleges előnyei más módszerekkel szemben a következők:

Számos lehetőség érhető el, amikor egy vagy több többszörösmutató-stílust hoz létre.

Megjegyzés: A videó nem tartalmaz hanganyagot vagy feliratot.

Megjegyzés: A lépések, képek és videók kissé eltérhetnek az Ön termékverziójában látottaktól.

Szabványos többszörös mutató létrehozása

  1. A Kezdőlap Mutatók paneljén kattintson a Többszörös mutató lehetőségre.
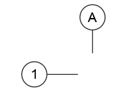
  2. Adja meg a nyílfej kezdőpontját (1), a mutatóvég kezdőpontját (2) és írja be a 402 értéket (3). Ezután a parancsból való kilépéshez kattintson valahova máshova a rajzterületen (4).

Csak úgy, mint a méret- és a szövegstílusok esetében, a többszörösmutató-stílusok is vezérlik az elhelyezett objektumokat és azok megjelenését. Érdemes több, az igényeinek megfelelő többszörösmutató-stílus létrehozásával kezdeni.

Buborékmegjegyzés stílusának létrehozása

  1. A Kezdőlapon kattintson a Feliratozás panel legördülő listájára, majd kattintson a harmadik vezérlőelemre a listában.
  2. A Többszörös mutatók stíluskezelőjében kattintson az Új (1) lehetőségre, adja meg a Buborékmegjegyzés nevet új stílusnévként (2), majd kattintson a Folytatás (3) lehetőségre.
  3. Ezután kattintson a Tartalom lapra (1), majd módosítsa a többszörös mutató típusát Bszöveg értékről Blokk értékre (2). A Forrásblokk beállításhoz válassza a Kör (3) lehetőséget. Ezután kattintson az OK gombra.
  4. A Többszörös mutató stílusának kezelőjében kattintson a Bezárás gombra.

    Az új többszörösmutató-stílus automatikusan Aktuális értékre van beállítva.

Tipp: Ha minden új rajzban szeretne további többszörösmutató-stílusokat elérhetővé tenni, hozza őket létre rajzsablonfájlként (DWT).

Többszörös mutatók létrehozása

  1. Egy kis téglalap létrehozásához használja a TÉGL parancsot.
  2. A szalagon kattintson a Feliratozás lapra, majd keresse meg a Mutatók panelt. A panel megerősíti, hogy a Buborékmegjegyzés az aktuális többszörösmutató-stílus.
    Tipp: Számos többszörös mutató létrehozása esetén a gyorsabb művelet érdekében érdemes lehet előnyben részesíteni a Mutatók szalagpanel használatát.
  3. Kattintson a Többszörös mutató eszközre a Mutatók panel bal oldalán.
  4. A végpont tárgyraszter használatával kattintson a téglalap valamelyik sarkába a nyílfej helyének megadásához (1). Ezután kattintson a mutató vízszintes mutatóvégének helyére (2), írjon be egy betűt vagy számot az Attribútumok szerkesztése párbeszédpanelen (3), majd kattintson az OK gombra.
  5. Ismételje meg az előző lépést, hogy a következő illusztrációhoz hasonlót hozzon létre:
Megjegyzés: A TMUTATÓ parancs lehetővé teszi a parancs beviteli sorrendjének megváltoztatását – eldöntheti, hogy a nyílfejet, a mutatót vagy a tartalmat kívánja-e először megadni.

Többszörös mutatók módosítása

  1. Válassza ki és mozgassa el a téglalapot.

    Észreveheti, hogy a nyílfejek és a mutatók igazodnak a téglalaphoz annak mozgatásakor. Alapértelmezés szerint a többszörös mutatók asszociatívak, amikor a nyílfejek a tárgyraszterekhez csatlakoznak.

  2. Kattintson a Mutató hozzáadása eszközre, majd válassza ki a felső többszörös mutatót (1). Adjon meg egy másik pontot a téglalapon (2).
  3. Kattintson a Többszörös mutató illesztése eszközre, majd válassza ki a három többszörös mutatót.
  4. Jelölje ki a legfelső többszörös mutatót illesztési referenciaként.
  5. Kapcsolja be az Orto módot [F8], majd kattintson egy függőlegesen felfelé vagy lefelé található pont helyére a függőleges igazításhoz.

    A kijelölt többszörös mutatók ekkor függőlegesen illeszkednek az ábrán látható módon.

Többszörös mutatók igazítása fogókkal

  1. Válassza ki az alsó többszörös mutatót a fogóinak megjelenítéséhez.
  2. Vigye a mutatót a középső töréspontfogó fölé a beállításmenü megjelenítéséhez.
  3. Kattintson a Nyújtás lehetőségre, majd kattintson egy kissé feljebb lévő új helyre.
    Tipp: A Nyújtás gombra való kattintás helyett magára a fogóra is kattinthat, hogy megváltoztassa a többszörös mutató elhelyezkedését.
  4. Kísérletezzen a többi fogóval is a többszörös mutató bármelyik végén, hogy megismerkedjen velük.
    Megjegyzés: A fogó áthelyezése a nyílfej végén megszünteti annak asszociativitását. A nyílfej újracsatolásához egy tárgyraszterhelyhez a DIMREASSOC eszközt kell használnia.

Kísérletezzen a beállításokkal és a blokkokkal

Kísérletezzen a különböző többszörösmutató-stílusok beállításaival. Például könnyedén létrehozhat egy, a következőhöz hasonló többszörösmutató-stílust a Buborékmegjegyzés stílus beállításainak megváltoztatásával.

  1. Nyissa meg a Többszörös mutatók stíluskezelőjét.

    Ezt megteheti a közvetlenül Feliratozás lap Mutatók paneljéről is az ábrán látható módon.

  2. Válassza ki a stílust, és kattintson a Módosítás lehetőségre.
  3. A Mutató szerkezete lapon törölje a jelet a Vízszintes mutatóvég automatikus beemelése jelölőnégyzetből.
  4. A Tartalom lapon kattintson az Illesztés legördülő listára, és válassza a Beszúrási pont lehetőséget.
  5. Kattintson az OK, majd a Bezárás gombra.
  6. Hozzon létre számos további, módosított stílusú többszörösmutató-objektumot.

Oszloprácscímkékhez is létrehozhat egy, a következőhöz hasonló többszörösmutató-stílust:

  1. Nyissa meg újra a Többszörös mutatók stíluskezelőjét, majd kattintson az Új (1) gombra.
  2. Az Új többszörösmutató-stílus létrehozása párbeszédpanelen válassza az Alapja: Buborékmegjegyzés lehetőséget, ha szükséges (2), írja be az Oszlopfeliratok nevet új stílusnévként (3), majd kattintson a Folytatás gombra (4).
  3. A Mutató formátuma lapon a nyílfej szimbólumánál válassza a Nincs lehetőséget.
  4. Kattintson az OK gombra, majd kattintson a Bezárás gombra. Az Orto módot (F8) bekapcsolva hozzon létre számos oszlopfeliratot az új többszörösmutató-stílussal.

Kísérletezzen más beállításokkal, és hozza létre saját, attribútumokkal rendelkező blokkdefinícióit. Látni fogja, hogy a Többszörös mutató funkció hatékony módja a különféle címkék és megjegyzések létrehozásának és kezelésének.

Többszörös mutató objektumok létrehozása és módosítása

A többszörös mutató objektumok, valamint a hozzájuk tartozó stílusok létrehozásához és módosításához leggyakrabban használt parancsok és rendszerváltozók a következők.

Parancs Leírás
TMUTATÓ Létrehoz egy vonalat, amely feliratozást köt össze egy alakzattal
TMUTATÓILLESZT A kijelölt többszörös mutató objektumok illesztése, és adott térköznek megfelelő rendezése
TMUTATÓBEGYŰJT A kijelölt, blokkot tartalmazó többszörös mutatókat sorokba és oszlopokba rendezi, és az eredményt egyetlen mutatóval jeleníti meg
TMUTATÓEDIT Mutatóvonalakat ad hozzá vagy távolít el többszörös mutató objektum esetében
TMUTATÓSTÍLUS Többszörösmutató-stílusokat hoz létre, illetve módosít
Rendszerváltozó Leírás Alapértelmezett érték Mentés helye
GALLERYVIEW A szalag legördülő galériáiban vezérli az előnézet típusát, beleértve a többszörösmutató-stílusok legördülő listáját 1 Beállításjegyzék
MLEADERSCALE A többszörös mutatók esetében használt általános léptéktényezőt állítja be 1.0000 Rajz

Az AutoCAD súgójában további információkat tudhat meg ezekről a parancsokról és a kapcsolódó rendszerváltozókról. A rendszerváltozó-beállításokkal addig kísérletezhet, amíg meg nem találja az igényeinek legjobban megfelelő beállításokat.