Nel settore dell'edilizia civile vengono utilizzate varie curve di transizione al fine di introdurre gradualmente la curvatura e la sopraelevazione tra tangenti e curve circolari nonché tra due curve circolari con curvatura diversa.
In relazione con altre tangenti e curve, ogni transizione è in ingresso o in uscita curva.
I due parametri utilizzati più comunemente dagli ingegneri nella progettazione e nell'impostazione di transizioni sono L (lunghezza transizione) ed R. Il parametro R si riferisce al raggio di curvatura di un'estremità della transizione. È possibile utilizzare R1 e R2 per distinguere tra il raggio all'inizio e alla fine del transizione.
Nella seguente figura sono illustrati i diversi parametri di una transizione:
| Parametro transizione | Descrizione |
| R1 | Il raggio della curva 1. |
| R2 | Il raggio della curva 2. |
| SS | La posizione iniziale della transizione. |
| SE | La posizione finale della transizione. |
| SP | Il punto di transizione in corrispondenza della lunghezza dell'arco l. |
| Θ | L'angolo centrale in corrispondenza del punto di transizione alla lunghezza dell'arco l. |
| l | La lunghezza dell'arco dalla posizione iniziale della transizione lungo la transizione. |
| L | Lunghezza arco totale della transizione tra le posizioni iniziale e finale della transizione. |
Le transizioni di continuità forniscono una transizione tra due curve circolari con raggi diversi. Esistono due tipi di transizione: semplice e composta. Una transizione composta è costituita da una curva formata da due transizioni semplici. Contiene due estensioni, ciascuna delle quali è una transizione semplice, che unisce in modo continuo la tangente con la transizione adiacente. Ciò garantisce la continuità della funzione di curvatura e consente di introdurre una transizione uniforme nella sopraelevazione.
Anche se in Autodesk Civil 3D sono supportati diversi tipi di transizione, la clotoide è il tipo utilizzato più frequente. La clotoide viene utilizzata in tutto il mondo sia per progetti di linee ferroviarie che di autostrade.
Presa in esame per la prima volta dal matematico svizzero Leonardo Eulero, la funzione di curvatura della clotoide è una funzione lineare scelta in modo che la curvatura sia uguale a zero (0) come funzione della lunghezza nel punto in cui la transizione incontra la tangente. La curvatura tende poi a diminuire in modo lineare fino ad eguagliare la curva adiacente nel punto di incontro tra la transizione e la curva.
A differenza della curva semplice, mantiene anche la continuità della curvatura locale, che è sempre più importante per i veicoli a velocità più elevate.
Formula
Le transizioni clotoide possono essere espresse nelle seguenti formule:
Planarità della transizione:
Angolo totale sotteso dalla transizione:
La distanza tangente nel punto notevole transizione-curva dal punto tangente-transizione è:
La distanza di scostamento tangente nel punto notevole transizione-curva dal punto tangente-transizione è:

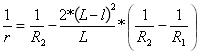
Anziché utilizzare la clotoide, è possibile utilizzare la transizione di Bloss, che rispetto alla clotoide offre il vantaggio di un punto di spostamento minore e, di conseguenza, di una transizione più lunga con un'estensione di transizione maggiore (K). Questo fattore è importante nella progettazione di binari.
Formula

Altre espressioni chiave:
La distanza tangente nel punto notevole transizione-curva dal punto tangente-transizione è:

La distanza di scostamento tangente nel punto notevole transizione-curva dal punto tangente-transizione è:
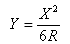
Queste curve rappresentano un corso di curvatura uniforme e sono applicabili alla transizione tra 0 e 90 gradi delle deflessioni della tangente. Ciononostante le curve sinusoidali non vengono molto utilizzate in quanto hanno un'inclinazione più forte rispetto ad una transizione reale e sono pertanto difficili da estrudere e tracciare.
Formula

Dove r è il raggio di curvatura in un determinato punto.
Questo tipo di equazione, comunemente utilizzato per la progettazione ferroviaria in Giappone, risulta utile in situazioni in cui è necessaria una transizione efficace nel cambio di curvatura per gli angoli di deflessione bassi (rispetto alla dinamica del veicolo).
Formula
Le curve tangente onda semi-sinusoidale in riduzione possono essere espresse come indicato di seguito.
Dove
e x rappresenta la distanza dall'inizio ad un punto qualsiasi sulla curva e viene misurata lungo la tangente iniziale (estesa); X indica il valore totale di X alla fine della curva di transizione.
Altre espressioni chiave:
La distanza tangente nel punto notevole transizione-curva dal punto tangente-transizione è:

La distanza di scostamento tangente nel punto notevole transizione-curva dal punto tangente-transizione è:

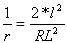
Le parabole cubiche convergono meno rapidamente delle transizioni cubiche e rappresentano quindi la scelta più frequente nella progettazione di ferrovie e autostrade.
Formula
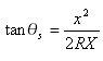
Raggio minimo della parabola cubica
Dove: Θ= L'angolo centrale in corrispondenza del punto di transizione alla lunghezza dell'arco
.
Vedere il diagramma precedente per riferimento.
Una parabola cubica ottiene r minimo in corrispondenza di:
Pertanto
Il raggio di una parabola cubica diminuisce da infinito a
a 24 gradi, 5 minuti, 41 secondi e a partire da quel momento in avanti inizia ad aumentare nuovamente. Per questo motivo le parabole cubiche si rivelano inutili per deflessioni maggiori di 24 gradi.
Questa transizione è stata sviluppata per soddisfare i requisiti di progettazione giapponesi. Sono state sviluppate alcune approssimazioni della clotoide da utilizzare in situazioni in cui è necessario adattare un angolo di deflessione ridotto o un raggio lungo. Una di tali approssimazioni, utilizzata per la progettazione in Giappone, è la transizione cubica.
Formula
Le transizioni cubiche per il Giappone possono essere espresse come indicato di seguito:
Dove X è uguale alla distanza tangente nel punto notevole transizione-curva dal punto tangente-transizione
Oppure come segue:

Dove
è l'angolo centrale della transizione (rappresentato come i1 e i2 nella figura)
Altre espressioni chiave:
La distanza tangente nel punto notevole transizione-curva dal punto tangente-transizione è:

La distanza di scostamento tangente nel punto notevole transizione-curva dal punto tangente-transizione è:
Si tratta di un tipo di parabola cubica modificata al fine di soddisfare i requisiti degli standard del New South Wales (Australia).
Formula
La parabola cubica NSW può essere espressa come indicato di seguito:
Le transizioni biquadratiche (Schramm) presentano valori bassi dell'accelerazione verticale. Esse contengono due parabole di secondo grado i cui raggi variano come funzione della lunghezza della curva (l).
Formula della curva semplice
Curvatura della prima parabola:
per
Curvatura della seconda parabola:
per
Questa curva è specificata dalla lunghezza definita dall'utente (L) della curva di transizione.
Formule della curva di continuità
Curvatura della prima parabola:
per
Curvatura della seconda parabola:
per