Casi teorici per la convalida delle simulazioni
Una delle fasi di un processo di progettazione affidabile è rappresentato dalla convalida. Per convalidare un progetto è spesso consigliabile utilizzare alcuni casi teorici semplici e affidabili con cui eseguire il confronto. Di seguito sono riportati alcuni di questi casi.
Nei casi seguenti vengono descritte le equazioni e i presupposti utilizzati per ottenere la convalida dell'output di una simulazione.
Spostamento, caso massa-molla
Si tratta di un semplice caso di convalida di massa e molla.

Legge di Newton:
(1)
Con:
| | Valore numerico: |
|---|
: posizione, basata sul tempo t | |
: velocità | |
: accelerazione | |
= massa del corpo in kg | 10 |
= smorzamento della molla in N.s/m | 20 |
= rigidità della molla in N/m | 15000 |
= lunghezza libera della molla in m | 0.3 |
= gravità in m/s2 | 9.81 |
posizione iniziale in m | 0.33 |
= velocità iniziale in m/s | 0.0 |
(1) |
con  |
| | (2)
|
Una soluzione per questa equazione differenziale è la seguente: |
| | (3)
|
Una soluzione specifica, quando il sistema si è stabilizzato, è per e x = B. |
Quindi (2)  |  |
| | 
|
| | (4)
|
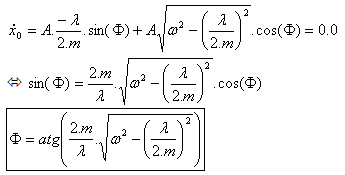
Le condizioni iniziali forniscono il valore di A e : |
per t = 0,0, (3)  |  |
| | (5)
|
| | e |
| | (6)
|
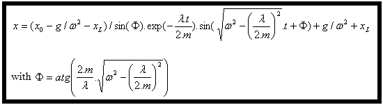
Al termine, (4) e (6) riportati in (3) forniscono l'equazione dello spostamento: |
| 
|
Questa equazione è stata quindi programmata in Excel e i risultati, confrontati con quelli prodotti da Simulazione dinamica, sono stati identici. |
| |
Posizione e velocità, caso pistone-manovella
Lo scopo di questo caso di convalida è quello di verificare la posizione e la velocità di un meccanismo costituito da un pistone e un albero a gomito quando l'output della simulazione dinamica e le equazioni teoriche indicano lo stesso risultato.
Valori noti: la "corsa" o la distanza del perno di banco dell'albero a gomito dal suo centro di rotazione e la lunghezza della biella compresa tra il perno di banco del cuscinetto principale e la connessione a spina del pistone.
Diagramma

Definizione | R = length(OP) = corsa dell'albero a gomito L = length(PQ) = lunghezza della biella |
| | |
Velocità del punto Q in relazione al sistema di coordinate assoluto R0 = (x0, y0) |
| | // posizione di Q in R0 |
| | // velocità di Q in R0 |
| con: 
|
| e: 
|
| |
con:  |
e;  |
quindi:  |
Il punto Q si trova sull'asse y0 e il componente x0 è 0,0: |
| |
| |
| Infine, utilizzando (1): | |
| | |
L'equazione (1) fornisce : che non è lineare in base al tempo; quindi non è una constante e non è una funzione periodica semplice. |
(1)  |
e  |
Utilizzando MS Excel e i valori numerici (L=0,125m, R=0,06m e rad/s), viene calcolata la posizione e la velocità del punto Q come indicato di seguito: |
Posizione: | |
| |
Velocità: | |
| |
Risultato: le curve nella simulazione dinamica sono identiche a quelle prodotte dalle equazioni teoriche.