Calcoli dei giunti del perno per unità inglesi

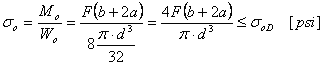
Sollecitazione di flessione

Pressione nell'asta

Pressione nel perno

Sollecitazione di taglio
Sollecitazione di taglio

dove:
| | F | forza [lb] |
| | σ 0 | sollecitazione di flessione [psia]. |
| | σ 0D | sollecitazione di flessione ammissibile [psi] |
| | M 0 | momento flettente [lb ft] |
| | W 0 | modulo sezione di flessione [in 3 ] |
| | τ | sollecitazione a taglio [psi] |
| | τ D | sollecitazione a taglio ammissibile [psi] |
| | d | diametro del perno [in] |
| | p 1 | pressione nell'asta [MPa] |
| | p 2 | pressione nel perno [psi] |
| | p 1D | pressione ammissibile nell'asta [psi] |
| | p 2D | pressione ammissibile nel perno [psi] |
| | b | larghezza asta [in] |
| | a | larghezza braccio del perno [in] |