Calcolo delle proporzioni di resistenza delle cinghie sincrone
| 
| Per ciascuna puleggia |
F 2 - F 1 + F p = 0 |
| 
|
| 
|
| 
|
Per la puleggia conduttrice

| 
| v ≤ v max |
| 
| f b ≤ f max |

F c = mv 2
F Tmax = k 1 F p + F c
F 1 = F tmax
F 2 = F 1 - F p
Per le singole pulegge condotte e di tensione
i - indice della puleggia
F Pi = P xi F p



F 1i = F 2i-1
F 2i = F 1i + F p i
dove:
per puleggia sincrona
per puleggia piatta
Per l'intera trasmissione a cinghia

La tensione di installazione della cinghia richiesta viene determinata dalle forze esercitate sulla puleggia conduttrice nel seguente modo:

Esempio di trasmissione di potenza con puleggia di tensione

Puleggia conduttrice | Puleggia di tensione piatta | Puleggia condotta |
P x1 = 1 | P x2 = 0 | P x3 = 1 |
| 
| 
| F P3 = P x3 F p |
| 
| 
| 
|
| 
| 
| 
|
| 
| F 12 = F 21 | 
|
| 
| F 22 = F 12 + F p2 = F 12 | 
|
F c = m v 2 | 
| 
|
F Tmax = k 1 F p + F C | - | F 13 = F 22 |
F 11 = F Tmax | - | F 23 = F 13 + F p3 = F 11 |
F 21 = F 11 - F p | - | 
|
| 
| - | - |
Significato delle variabili usate:
F p | Estrazione effettiva [N] |
F 1 | Tensione della cinghia sul lato di input della specifica puleggia [N] |
F 2 | Tensione della cinghia sul lato di output della specifica puleggia [N] |
z | Numero di denti della specifica puleggia/ Numero di denti della cinghia [-] |
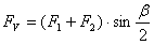
| β | Arco di contatto / angolo dente dell'inclinazione laterale [gradi] |
P | potenza da trasmettere [W] |
P R | Livello di potenza della cinghia per lo specifico scheletro di trasmissione [W] |
c L | Fattore di servizio [-] |
| β | Arco di contatto [gradi] |
T | Momento che agisce sulla specifica puleggia [Nm] |
n | Velocità della specifica puleggia [rpm] |
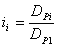
D p | Diametro primitivo della puleggia [m] |
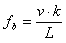
v | Velocità della cinghia [m/s] |
k | Numero di pulegge nella trasmissione a cinghia [-] |
L | Lunghezza del passo della cinghia [m] |
P | potenza da trasmettere [W] |
m | Spessore cinghia specifico per una determinata larghezza [Kg/m] |
k 1 | Fattore di tensione della cinghia [-] |
F p | Estrazione effettiva [N] |
F c | Forza centrifuga [N]. |
F t | Tensione minima di installazione della cinghia [N] |
P xi | Rapporto di potenza della specifica puleggia [-] |
D pi | Diametro primitivo della puleggia [m] |
i | Rapporto di trasmissione (rapporto di velocità) della specifica puleggia [-] |
T i | Momento che agisce sulla specifica puleggia [Nm] |
| η | Efficienza [-] |
p b | Passo circonferenziale [m] |
D | Diametro nominale della puleggia piatta [m] |
H | Altezza della cinghia [m] |
h T | Altezza del dente della cinghia [m] |
a | Offset linea passo [m] |
Nota: i - indice della puleggia
Calcoli di base