Queste formule vengono usate per risolvere un albero (con una o più sezioni) o una trave (con una sezione costante) munita di più supporti e carichi.
L'asse dell'albero o della trave è allineato con l'asse Z. Se l'impatto della densità del materiale è incluso nel calcolo, il vettore di gravità è allineato con l'asse Y.
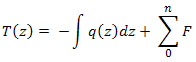
Forze di taglio:
![]()
Momenti flettenti:
![]()
Angolo di deformazione:
![]()
dove:
E | modulo di elasticità in tensione | |
J | Momento di inerzia | |
G | modulo di rigidità | |
| β | coefficiente di spostamento di taglio |
Deformazione:
![]()
Sollecitazione di flessione:
![]()
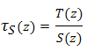
Sollecitazione di taglio:
![]()
Sollecitazione di torsione:
![]()
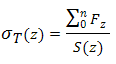
Sollecitazione di trazione:
![]()
Sollecitazione ridotta:
![]()
dove:
| σ B | sollecitazione di flessione | |
| σ T | sollecitazione di trazione | |
| τ | sollecitazione torsionale | |
| τ S | sollecitazione a taglio | |
| α | α = 3 per HMH | |
| α = 4 per Tresca-Guest |
Calcolo campione
![]()
Modulo di elasticità E= 210.000 MPa
Modulo di rigidità G= 81.000 MPa
coefficiente di spostamento di taglio β = 1.118
Modalità di sollecitazione ridotta: HMH
Non includere la densità del materiale.
Forze di supporto:
![]()
![]()
Sollecitazione a taglio massimo:
![]()
Sollecitazione di torsione massima:
![]()
Momento massimo:
![]()
Sollecitazione di flessione massima:
![]()
Sollecitazione ridotta massima:
![]()
Angolo di torsione:
![]()
![]()