Calcolo delle proporzioni di resistenza delle cinghie trapezoidali

Equazioni generali utilizzate

 

 

Dove m è una massa specifica della cinghia definita come m = S ρ

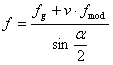
Fattore di attrito modificato della specifica puleggia

 

 

 

f = f g + v f mod

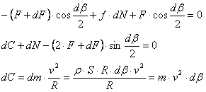
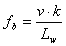
Equazioni fondamentali della cinghia e della puleggia conduttrice

potenza da trasmettere

Velocità cinghia

Frequenza di flessione della cinghia

Estrazione effettiva (o tensione effettiva)

Forza centrifuga

Fc = z m v 2

Tensione nel raggi della cinghia

Nelle seguenti equazioni, l'applicazione determina per prima cosa la puleggia più sospetta che richiede la massima tensione di installazione della cinghia per trasmettere un carico. Quindi la tensione della cinghia in ogni raggio viene regolata di conseguenza per tutte le pulegge rispetto alla tensione di installazione iniziale della cinghia.

 

 

F 1i - F p P xi - F 2i = 0

 

 

Il criterio della puleggia più sospetta è la massima tensione del lato teso

F 1max = max (F 1i )

La tensione massima totale nel raggio della cinghia (per cinghia) quando la trasmissione a cinghia è a pieno carico viene determinata come

Dove l'espressione “k 1 F 1max ” è la tensione massima effettiva nel raggio della cinghia considerata per tutte le cinghie nella trasmissione a cinghia. In questo modo, tutte le tensioni corrispondenti nei singoli raggi vengono ricalcolate per soddisfare le seguenti condizioni:

F 1i - F P P xi - F 2i = 0

Carico assiale risultante per ciascuna puleggia quando la trasmissione a cinghia è a pieno carico

Per le pulegge condotte e di tensione F 1 e F 2 sono invertiti nel generatore, per cui F 1 è la tensione del raggio della cinghia in input e F 2 è la tensione del raggio della cinghia in output nel senso del movimento della cinghia.

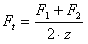
Tensione di installazione iniziale della cinghia e forza di tensione statica

La tensione di installazione iniziale della cinghia (per cinghia) può essere regolata mediante il fattore messa in tensione e determinata come segue

La forza di tensione statica F v viene determinata per ciascuna puleggia. L'applicazione calcola la forza di tensione esercitata lungo la linea d'asse del raggio della cinghia nel seguente modo:

 

 

Significato delle variabili usate:

FForza tangenziale [N]
  βArco di contatto [gradi]
  αAngolo cuneo [gradi]
CForza centrifuga [N].
NForza normale [N]
mMassa specifica della cinghia [kg/m]
vVelocità della cinghia [m/s]
RRaggio della puleggia [m]
SArea della sezione trasversale della cinghia [m 2 ]
TMomento che agisce sulla specifica puleggia [Nm]
D pDiametro primitivo della puleggia [m]
kNumero di pulegge [-]
Ppotenza da trasmettere [N]
vVelocità della cinghia [m/s]
F cForza centrifuga [N].
F 1Tensione del raggio della cinghia all'input per la specifica puleggia [-]
F 2Tensione del raggio della cinghia all'output per la specifica puleggia [-]
fFattore di attrito modificato della specifica puleggia [-]
P xRapporto di potenza della specifica puleggia [-]
f gFattore di attrito del materiale e della cinghia della specifica puleggia [-]

f mod

Fattore di velocità della modifica dell'attrito [s/m]
ZNumero di cinghie [-]
  ρDensità della cinghia [kg/m3]
F tTensione di installazione iniziale della cinghia [N
F vForza di tensione statica per la specifica puleggia [N]
k 1Fattore di tensione della cinghia [-]
Nota: i - indice della puleggia