Calcoli dei giunti del perno per unità metriche

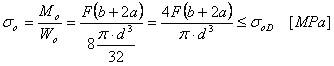
Sollecitazione di flessione

Pressione nell'asta

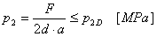
Pressione nel perno

Sollecitazione di taglio

dove:
| | F | forza [N] |
| | σ 0 | sollecitazione di flessione [MPa] |
| | σ 0D | Sollecitazione di flessione ammissibile [MPa] |
| | M 0 | momento flettente [N mm] |
| | W 0 | modulo sezione flettente [mm 3] |
| | τ | sollecitazione a taglio [MPa] |
| | τ D | sollecitazione a taglio ammissibile [MPa] |
| | d | diametro del perno [mm] |
| | p 1 | pressione nell'asta [MPa] |
| | p 2 | pressione nel perno [MPa] |
| | p 1D | pressione ammissibile nell'asta [MPa] |
| | p 2D | pressione ammissibile nel perno [MPa] |
| | b | larghezza asta [mm] |
| | a | larghezza braccio del perno [mm] |