Spline ad evolvente: formule di calcolo in unità metriche
Momento trasferito

dove:
| | P | potenza trasferita [kW] |
| | n | velocità [min -1 ] |
Pressione sulla superficie di supporto della scanalatura
1. diametro interno dell'albero d h > 0
a) 
b) se d min ≤d h -> d min = 1,1 d h [mm]
c) se d min ≤ 1,5 d h -> d min = 1,5 d h [mm]
2. diametro interno dell'albero d h = 0

dove:
| | d min | diametro albero minimo [mm] |
| | d h | diametro interno albero [mm] |
| | T | momento [Nm] |
| | K a | fattore di applicazione |
| | K f | fattore di fatica di usura |
| | S v | sicurezza desiderata |
| | τ Al | Sollecitazione a taglio ammissibile |
Lunghezza minima delle spline per trasferire il momento
1. Connessione fissa: | |
2. Connessione flessibile: | |
dove: | |
| | T | momento [Nm] |
| | K a | fattore di applicazione |
| | K f | fattore di usura |
| | K w | fattore di applicazione |
| | K m | fattore di distribuzione del carico |
| | S v | sicurezza desiderata |
| | d s | diametro medio = (D + d) / 2 [mm] |
| | D | diametro esterno della sezione della scanalatura [mm] |
| | d | diametro interno della sezione della scanalatura [mm] |
| | N | numero di scanalature [-] |
| | h | altezza scanalatura = (D - d) / 2 [mm] |
| | s | Smusso [mm] |
| | h st | altezza connessione h st = h - 2 s [mm] |
| | p Dmin | pressione ammissibile sulla superficie di supporto dell'albero o della scanalatura [MPa] |
Pressione ammissibile
1. Connessione fissa: | |
2. Connessione flessibile: | |
dove: | |
| | T | momento [Nm] |
| | K a | fattore di applicazione |
| | K f | fattore di usura |
| | K w | fattore di applicazione |
| | K m | fattore di distribuzione del carico |
| | S v | sicurezza desiderata |
| | d s | diametro medio = (D + d) / 2 [mm] |
| | D | diametro esterno della sezione della scanalatura [mm] |
| | d | diametro interno della sezione della scanalatura [mm] |
| | N | numero di scanalature [-] |
| | h | altezza scanalatura = (D - d) / 2 [mm] |
| | s | Smusso [mm] |
| | h st | altezza connessione h st = h - 2 s [mm] |
| | l f | lunghezza chiavetta attiva [mm] |
Verifica della resistenza
p min ≤ p ds
p min ≤ p dh
dove:
| | p min | minima pressione h/2 calcolata [MPa] |
| | p ds | pressione ammissibile nell'albero [MPa] |
| | p dh | pressione ammissibile nel mozzo [MPa] |
Calcolo metrico in base a CSN 01 4950
Sollecitazione di flessione

dove:
s sf | spessore dedendum dente cordale albero | s sf = 2,17 m | |
h | altezza dente albero | h = 1,1m - 0,05 | centratura fino ai lati del dente, base piatta della scanalatura |
| | | h = 1,28m - 0,05 | centratura fino ai lati del dente, base rotonda della scanalatura |
| | | h = 1,2 m | centratura esterna |
Pressione sulla superficie di supporto della scanalatura

dove:
| | h n | altezza spline che supporta il carico | h n = 0,9 m - 0,05 |
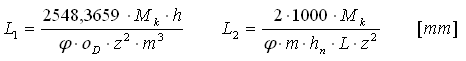
Lunghezza minima delle spline
L min = max {L 1 , L 2 } [mm]
dove:

Valori consigliati: L = (0,8 - 1,6) D
Verifica delle spline
p ≤ p d e σ≤σ d
dove:
| | P | potenza trasferita [kW] |
| | n | velocità [min -1 ] |
| | z | numero denti [-] |
| | p D | pressione ammissibile sulle superfici di contatto dei denti [MPa] |
| | σ D | Sollecitazione di flessione ammissibile [MPa] |
| | L | lunghezza spline attiva [mm] |
| | D | diametro spline nominale [mm] |
| | φ | fattore del contatto del lato del dente |