Giunto a chiavetta: formule di calcolo in unità metriche

Momento trasferito

dove:
| | P | potenza [kW] |
| | n | velocità [rpm] |
Calcolo del diametro minimo dell'albero
1. diametro interno dell'albero d h > 0
a) 
b) se d min ≤d h -> d min = 1,1 d h [mm]
c) se d min ≤ 1,5 d h -> d min = 1,5 d h [mm]
2. diametro interno dell'albero d h = 0

dove:
| | d min | diametro albero minimo [mm] |
| | d h | diametro interno albero [mm] |
| | T | momento [Nm] |
| | K a | fattore di applicazione |
| | K f | fattore di fatica di usura |
| | S v | sicurezza desiderata |
| | τ A | Sollecitazione a taglio ammissibile |
Calcolo generale
| | intervallo dell'azione della forza sull'albero |
h k = h - h s - 2 s [mm] | intervallo dell'azione della forza sul mozzo |
| | diametro albero dell'intervallo dell'azione della forza |
| | diametro mozzo dell'intervallo dell'azione della forza |
| | forza sull'albero |
| | forza sul mozzo |
dove: | |
| | T | momento [Nm] |
| | F s | forza sull'albero [N] |
| | F h | forza sul mozzo [N] |
| | K a | fattore di applicazione |
| | K f | fattore di usura |
| | K w | fattore di applicazione |
| | K m | fattore di distribuzione del carico |
| | S v | sicurezza desiderata |
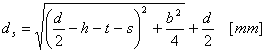
| | d | diametro albero [mm] |
| | d s | diametro albero in cui agisce la forza F s [mm] |
| | d h | diametro albero in cui agisce la forza F d [mm] |
| | N | numero di scanalature [-] |
| | h | altezza scanalatura |
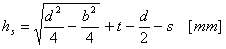
| | h s | altezza del punto di azione della forza sull'albero [mm] |
| | h h | altezza del punto di azione della forza sul mozzo [mm] |
| | b | larghezza della scanalatura |
| | t | profondità della scanalatura nell'albero [mm] |
| | s | smusso |
| | p Dmins | pressione ammissibile minima (scanalatura, albero) [MPa] |
| | p Dminh | pressione ammissibile minima (scanalatura, mozzo) [MPa] |
Lunghezza minima della chiavetta per trasferire il momento
1. Connessione fissa: | a) |
| | b) |
| | L min = min(L mins , L minh ) |
2. Connessione flessibile: | a) |
| | b) |
| | L min = min(L mins , L minh ) |
dove: | |
| | F s | forza sull'albero [N] |
| | F h | forza sul mozzo [N] |
| | K a | fattore di applicazione |
| | K f | fattore di usura |
| | K w | fattore di applicazione |
| | K m | fattore di distribuzione del carico |
| | S v | sicurezza desiderata |
| | d | diametro albero [mm] |
| | N | numero di scanalature [-] |
| | h s | altezza del punto di azione della forza sull'albero [mm] |
| | h h | altezza del punto di azione della forza sul mozzo [mm] |
| | p Dmins | pressione ammissibile minima (scanalatura, albero) [MPa] |
| | p Dminh | pressione ammissibile minima (scanalatura, mozzo) [MPa] |
Pressione ammissibile minima
1. Connessione fissa: | a) |
| | b) |
2. Connessione flessibile: | a) |
| | b) |
dove: | |
| | F s | forza sull'albero [N] |
| | F h | forza sul mozzo [N] |
| | K a | fattore di applicazione |
| | K f | fattore di usura |
| | K w | fattore di applicazione |
| | K m | fattore di distribuzione del carico |
| | S v | sicurezza desiderata |
| | d | diametro interno della sezione della scanalatura [mm] |
| | N | numero di scanalature [-] |
| | h s | altezza del punto di azione della forza sull'albero [mm] |
| | h h | altezza del punto di azione della forza sul mozzo [mm] |
| | l f | lunghezza chiavetta attiva [mm] |
Verifica della resistenza
p mins ≤ p Ds
p minh ≤ p Dh
dove:
| | p mins | minima pressione di taglio calcolata nell'albero [MPa] |
| | p minh | minima pressione di taglio calcolata nel mozzo [MPa] |
| | p Ds | pressione ammissibile nell'albero [MPa] |
| | p Dh | pressione ammissibile nel mozzo [MPa] |
Calcolo semplificato
Lunghezza minima della chiavetta per trasferire il momento
1. Connessione fissa: | |
2. Connessione flessibile: | |
dove: | |
| | T | momento [Nm] |
| | K a | fattore di applicazione |
| | K f | fattore di usura |
| | K w | fattore di applicazione |
| | K m | fattore di distribuzione del carico |
| | S v | sicurezza desiderata |
| | d | diametro albero [mm] |
| | N | numero di scanalature [-] |
| | h | altezza scanalatura |
| | s | smusso |
| | h st | altezza connessione h st = h - 2 s [mm] |
| | p Dmin | pressione ammissibile sulla superficie di supporto dell'albero, scanalatura o mozzo [MPa] |
Pressione ammissibile
1. Connessione fissa: | |
2. Connessione flessibile: | |
dove: | |
| | T | momento [Nm] |
| | K a | fattore di applicazione |
| | K f | fattore di usura |
| | K w | fattore di applicazione |
| | K m | fattore di distribuzione del carico |
| | S v | sicurezza desiderata |
| | d | diametro albero [mm] |
| | N | numero di scanalature [-] |
| | h | altezza scanalatura |
| | s | smusso |
| | h st | altezza connessione h st = h - 2 s [mm] |
| | l f | lunghezza chiavetta attiva [mm] |
Verifica della resistenza
p min ≤ p Ds
p min ≤ p Dh
dove:
| | p min | minima pressione h/2 calcolata [MPa] |
| | p Ds | pressione ammissibile nell'albero [MPa] |
| | p Dh | pressione ammissibile nel mozzo [MPa] |