Mozzo separato: formule per il calcolo imperiale

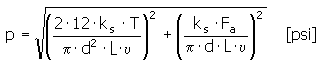
Pressione di contatto

Lunghezza minima del mozzo

Valori consigliati: L = (0,6 - 3) d
Forza sostenuta da un bullone

Verifica della resistenza
p ≤ p A
dove:
| | F a | forza assiale [lb] |
| | T | momento [lb ft] |
| | d | diametro albero [in] |
| | p | pressione di contatto in un giunto [psi] |
| | p A | pressione ammissibile [psi] |
| | L | lunghezza mozzo [in] |
| | υ | fattore di bloccaggio υ = 0.008 a 0.1 [-] |
| | k s | sicurezza di scorrimento [-] |
| | F | forza sostenuta da un bullone [lb] |
| | F s | forza sostenuta da tutti i bulloni [lb] |
| | i | numero totale di bulloni [-] |