The following parameters of the parabolic model (according to EC) are defined for positive arguments x>0. The value of the derivative needed to define the stiffness is also specified.
Auxiliary quantities:
Function:
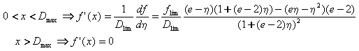
Derivative (stiffness):
Limitations: