Per disegnare spline, cercare di utilizzare le linee o la combinazione di linee più semplice possibile per ottenere i risultati desiderati.
Ad esempio, può essere necessario creare una linea analoga a quella raffigurata di seguito.

Per crearla è possibile utilizzare una combinazione di archi e linee oppure una spline. Per disegnare le linee con le spline è necessario un tempo di elaborazione maggiore, pertanto è consigliabile, ove possibile, utilizzare combinazioni di archi e linee.
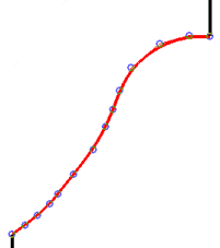
Nei casi in cui è necessario creare una linea con una spline, è opportuno utilizzare il minor numero possibile di punti di controllo per limitare al minimo il tempo di elaborazione. Nell'immagine seguente è raffigurata una spline disegnata scegliendo un numero elevato di punti di controllo (i punti blu).

È possibile creare la stessa spline utilizzando un numero minore di punti di controllo, come illustrato.
