単層の弾性定数と熱係数を指定します。
[定数]タブの次のフィールドを指定する必要があります([J]、[K]、[L]フィールド)。

これらは、標準の単層材料特性です。Helius PFA では、単層は横等方性として取り扱われます。
E11 (必須): 繊維方向の単層のヤング率。
E22 (必須): 横方向の単層のヤング率。 (このヤング率は、E33 ヤング率に相当します)
ν12 (必須): 面内ポアソン比。 (この比率は ν13 比率に相当します)
ν23 (必須): 単層内のポアソン比。
G12 (必須): 面内単層せん断係数。 (この係数は、G13 係数に相当します)
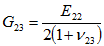
G23: 単層内せん断係数。この値は、次の方程式を使用して自動的に計算されます。

α11 (オプション): 単層の縦方向線膨張係数。 これは、熱解析が必要な場合にのみ必要となります。
α22 (オプション): 単層の横方向線膨張係数。 これは、熱解析が必要な場合にのみ必要となります。(この係数は、α33 係数に相当します)
Helius PFA では、繊維構成特性は横等方性として取り扱われます。これらの構成特性が不明である場合は、既定の構成特性が用意されています。これらの特性は[繊維タイプ]ドロップダウン メニューから繊維を選択し、[材料タイプ特性を適用]をクリックして入力します。この繊維タイプは、指定した単層特性に関連付けるために mdata ファイルを保存したときに変更される構成特性の開始点となります。現在のところ、既定の特性は炭素、ガラス、ケブラー繊維に対してのみ提供されています。異なる材料システムを使用する場合、材料の特性指定を完了するには、オートデスクにお問い合わせください。熱解析が必要な場合は、線膨張係数を入力する必要があります。複合材料の線膨張係数をゼロのままにする場合は、繊維の線膨張係数もゼロに設定する必要があります。既定の材料特性の元の説明については、「付録 A」を参照ください。
Helius PFA では、既定で母材構成特性は横等方性として取り扱われます。母材構成の等方性材料対称性を強制する場合は、[母材特性を等方性に維持]ボックスをオンにします。これらの構成特性が不明である場合は、既定の構成特性が用意されています。これらの特性は材料タイプのドロップダウン メニューから母材を選択し、[材料タイプ特性を適用]をクリックして入力します。この母材タイプは、指定した単層特性に関連付けるために mdata ファイルを保存したときに変更される構成特性の開始点となります。現在のところ、既定の特性は熱硬化性樹脂、熱可塑性樹脂、BMI 樹脂に対してのみ提供されています。異なる材料システムを使用する場合、材料の特性指定を完了するには、オートデスクにお問い合わせください。熱解析が必要な場合は、線膨張係数を入力する必要があります。複合材料の線膨張係数をゼロのままにする場合は、母材の線膨張係数もゼロに設定する必要があります。既定の材料特性の元の説明については、「付録 A」を参照ください。