シミュレーション検証のための理論ケース
責務設計工程におけるステップの 1 つとして、検証が挙げられます。設計を検証するには、多くの場合、信頼できる単純な理論ケースを計測尺度として使用するのが効果的です。次のケースは、そのようなケースです。
シミュレーション出力の検証の遂行に使用される計算式および前提条件を、次のケースに示します。
変位、質量とばねのケース
単純な質量とばねの検証ケース。

ニュートンの法則:
(1)
ここで
| | 数値: |
|---|
: 時間 t を基準とした位置 | |
: 速度 | |
: 加速度 | |
: ボディの質量 (kg) | 10 |
= ばねのダンピング(N.s/m) | 20 |
= ばねの剛性(N/m) | 15000 |
= ばねの自由長(m) | 0.3 |
= 重力(m/s2) | 9.81 |
= 初期位置(m) | 0.33 |
= 初期速度(m/s) | 0.0 |
(1) |
かつ  |
| | (2)
|
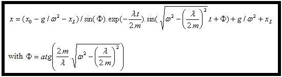
この微分方程式の求解は、次式のようになります。 |
| | (3)
|
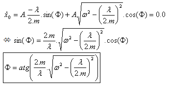
系が安定のとき、特定の求解における前提条件を かつ x = B とします。 |
このとき (2)  |  |
| | 
|
| | (4)
|
初期条件によって、A の値および が与えられます。 |
t = 0.0 のとき、(3)  |  |
| | (5)
|
| | および |
| | (6)
|
よって、(3)でレポートされた(4)および(6)によって変位の計算式が与えられます。 |
| 
|
さらに、この計算式を Excel でプログラミングし、その結果をダイナミック シミュレーションで与えられた結果と比較すると、それぞれの結果は同一になります。 |
| |
位置と速度、クランクとピストンのケース
位置と速度、クランクとピストンのケース
既知の値: クランク軸の回転中心点からのクランク軸ジャーナルの「スロー」または距離、および主軸受ジャーナルとピストン ピン ジョイント間の連結ロッドの長さ。
荷重図

[定義] | R = length(OP) = クランク軸のスロー L = length(PQ) = 接続ロッドの長さ |
| | |
絶対座標系 R0 = (x0, y0)を基準とした相対位置 Q の速度 |
| | // R0 における Q の位置 |
| | // R0 における Q の速度 |
| ここで 
|
| かつ 
|
| |
ここで  |
かつ  |
このとき  |
点 Q は常に y0 軸上にあります。x0 成分は 0.0 です。 |
| |
| |
| よって、(1)を使用すると | |
| | |
計算式(1)により が与えられますが、これは時間軸を基準とした線分ではないため、 は定数でなく、 は単純周期関数にはなりません。 |
(1)  |
かつ  |
MS Excel と数値(L=0.125m、R=0.06m、および rad/s)を使用して、点 Q における位置と速度(下記)を計算しましょう。 |
位置: | |
| |
速度: | |
| |
結果: ダイナミック シミュレーションの曲線は、理論計算式により生成される曲線と同一になります。