ベルト ピッチの長さは、ベルトの歯数および円ピッチで決まります。ベルトの軌道は個々のプーリ位置に基づきます。各プーリのピッチ円直径は次で説明する式から求められます。プーリのスライド位置を調整し、標準ベルト長さ条件に合致するようにします。計算は解法を繰り返すことで行われ、プーリの望ましいスライド位置に最も近い、プーリの適切なスライド位置を求めます。
正確なピッチ円直径を求める
|
| 右回りまたは両面ベルトの歯付きプーリ |
|
| |
|
| 右回りまたは両面ベルトの平プーリ |
D p = D + 2(a + h t ) | |
|
| 左回りまたは片面ベルトの歯付きプーリ |
D p = D 0 + 2(H - a - h t ) | |
|
| 左回りまたは片面ベルトの平プーリ |
D p = D + 2(H - a - h t ) |
2 つのプーリでの動力伝達の例
![]()
接触弧
![]()
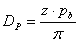
ピッチ ベルト長さ
![]()
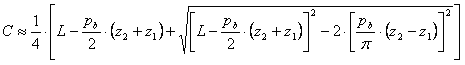
中心距離
![]()
次の式は新しい駆動の中心距離を求めるのにお勧めできます。
0.2 p b (z 1 + z 2 ) ≤ C ≤ 0.7 p b (z 1 = z 2 )
使用される変数の意味:
z | 指定プーリの歯数/ベルトの歯数[-] |
p b | 円ピッチ[m] |
D | 平プーリの呼び径[m] |
a | ピッチ線オフセット[m] |
h t | ベルトの歯高さ[m] |
D 0 | 歯付きプーリの外径[m] |
H | ベルト高さ[m] |
C | 指定プーリと駆動プーリとの中心距離[m] |
| β | 接触弧[度] |