歯付きベルトの強度比を計算する
| 
| 各プーリの場合 |
F 2 - F 1 + F p = 0 |
| 
|
| 
|
| 
|
駆動プーリの場合

| 
| v ≤ v max |
| 
| f b ≤ f max |

F c = mv 2
F Tmax = k 1 F p + F c
F 1 = F tmax
F 2 = F 1 - F p
個々の被駆動プーリおよびアイドラーの場合
プーリのインデックス i
F Pi = P xi F p



F 1i = F 2i-1
F 2i = F 1i + F p i
ここで
同期プーリの場合
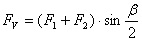
平プーリの場合
ベルト駆動全体の場合

必要なベルト取り付け張力は、以下のように駆動プーリでの力から求められます。

アイドラーでの動力伝達の例

駆動プーリ | フラット アイドラー | 駆動プーリ |
P x1 = 1 | P x2 = 0 | P x3 = 1 |
| 
| 
| F P3 = P x3 F p |
| 
| 
| 
|
| 
| 
| 
|
| 
| F 12 = F 21 | 
|
| 
| F 22 = F 12 + F p2 = F 12 | 
|
F c = m v 2 | 
| 
|
F Tmax = k 1 F p + F C | - | F 13 = F 22 |
F 11 = F Tmax | - | F 23 = F 13 + F p3 = F 11 |
F 21 = F 11 - F p | - | 
|
| 
| - | - |
使用される変数の意味:
F p | 有効張力[N] |
F 1 | 指定プーリの入力側のベルト張力[N] |
F 2 | 指定プーリの出力側のベルト張力[N] |
z | 指定プーリの歯数/ベルトの歯数[-] |
| β | 接触弧/歯の側面傾斜角[度] |
P | 伝達する動力[W] |
P R | 指定トランスミッション レイアウトのベルト定格動力[W] |
c L | 稼働係数[-] |
| β | 接触弧[度] |
T | 指定のプーリに作用するトルク[Nm] |
n | 指定のプーリの速度[rpm] |
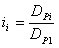
D p | ピッチ プーリの直径[m] |
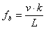
v | ベルト速度[m/秒] |
k | ベルト駆動内のプーリの数[-] |
L | ベルト ピッチの長さ[m] |
P | 伝達する動力[W] |
m | 指定した幅での特定ベルト重さ[Kg/m] |
k 1 | ベルト張力係数[-] |
F p | 有効張力[N] |
F c | 遠心力[N] |
F t | ベルト取り付け張力[N] |
P xi | 指定のプーリの動力比[-] |
D pi | ピッチ プーリの直径[m] |
i | 指定のプーリの動力比(速度比) [-] |
T i | 指定のプーリに作用するトルク[Nm] |
| η | 効率[-] |
p b | 円ピッチ[m] |
D | 平プーリの呼び径[m] |
H | ベルト高さ[m] |
h T | ベルトの歯高さ[m] |
a | ピッチ線オフセット[m] |
注: i = プーリのインデックス
計算の基本